CÔNG NGHỆ LỌC THẨM THẤU NGƯỢC RO

1. Giới thiệu

1.1. Hiện tượng thẩm thấu

Hệ thống lọc nước RO được sử dụng rộng rãi hầu hết trong các dây chuyền xử lý nước tinh khiết, hệ thống cấp nước, xử lý nước thải.

Thẩm thấu ngược là quá trình loại bỏ các ion, các tạp chất, vi sinh vật ra khỏi nước nhờ vào việc bơm nước dưới áp lực cao vào các màng lọc bán thẩm thấu.

Trước tiên cần tìm hiểu thế nào là thẩm thấu :

Hình 1. Quá trình thẩm thấu tự nhiên

Thẩm thấu là hiện tượng tự nhiên khi chất lỏng ở môi trường có nồng độ các chất hòa tan thấp (áp suất thẩm thấu cao) hơn di chuyển sang môi trường có nồng độ các chất hòa tan cao (áp suất thẩm thấu thấp) hơn. Theo thí nghiệm trên, ta có một bình chữ U, có 2 nhánh được ngăn cách bằng lớp màng mỏng có các lỗ siêu nhỏ( màng bán thấm). Mỗi bên nhánh là 2 dung dịch có nồng độ muối khác nhau. Khi đó nước từ phía có nồng độ muối hòa tan thấp hơn sẽ dịch chuyển sang phía có nồng độ muối hòa tan cao hơn (do chênh lệch áp suất thẩm thấu), còn các phân tử muối có kích thước to hơn lỗ của màng nên được giữ lại, đồng thời mực nước 2 phía chênh lệch. Quá trình kết thúc cho đến đạt cân bằng áp suất thẩm thấu ở 2 phía màng.

Áp suất thẩm thấu phụ thuộc vào nồng độ các chất hòa tan trong dung dịch và nhiệt độ tuyệt đối của dung dịch.

1.2. Thẩm thấu ngược

Thẩm thấu ngược là quá trình diễn ra ngược lại sự thẩm thấu tự nhiên với sự hỗ trợ của áp lực đặt lên chất lỏng.

Hình 2. Quá trình thẩm thấu ngược

Các tạp chất bị giữ lại, chỉ có phân tử nước được đi qua.

Trở lại thí nghiệm với bình chữ U, khi đặt áp lực đủ lớn lên chất lỏng ở phía có nồng độ muối hòa tan cao hơn thì nước sẽ di chuyển qua màng lọc sang phía còn lại, các phân tử muối hòa tan có kích thước to hơn các lỗ lọc nên bị giữ lại. Kết quả, thu được nước tinh khiết ở phía có nồng độ muối hòa tan thấp hơn. Điều kiện để xảy ra quá trình thẩm thấu ngược là :

Pđẩy > ∆Pthẩm thấu

1.3. Thành phần chính của hệ thống lọc RO

Nguyên lý hoạt động của hệ thống RO

Hệ thống RO gồm :

  • Bơm cao áp : tạo áp suất nước đủ lớn để quá trình thẩm thấu ngược xảy ra.
  • Màng RO : Là một màng mỏng làm từ vật liệu Cellulose Acetate, Polyamide hoặc màng TFC có những lỗ nhỏ tới 0.001 micron (kích thước phân tử, nguyên tử). Các màng này được cuộn lại thành ống tạo thành các module có thể ghép nối với nhau để tăng khả năng lọc. Màng RO có khả năng lọc được từ 95% – 99% các thành phần hòa tan có trong nước.

Màng lọc RO

Cấu tạo màng lọc RO

Nước từ nguồn cấp sau khi qua màng lọc RO được chia thành 2 dòng chảy :

  • Dòng thẩm thấu ( permeate water): thu được thông qua lõi thẩm thấu và không chứa bất kì thành phần tạp chất nào.
  • Dòng tích tụ (concentrated water) : bao gồm một phần dòng nước cấp và tất cả các tạp chất bị giữ lại ở trên màng. Có vai trò rửa tẩy rửa bề mặt màng trong quá trình lọc.

2. Các chỉ số quan trọng của hệ thống lọc RO

Để có thể đưa ra đánh giá về hiệu suất hoạt động và chất lượng của hệ thống RO, cần đo những thông số sau:

  • Áp suất nước cấp
  • Áp suất dòng thẩm thấu
  • Áp suất dòng tích tụ
  • Độ dẫn điện nước cấp
  • Độ dẫn điện dòng tích tụ
  • Lưu lượng nước cấp
  • Lưu lượng dòng thẩm thấu
  • Nhiệt độ nước

2.1. Chỉ số khử muối khoáng (% Rejection) – Đơn vị %

Chỉ số này cho biết khả năng loại bỏ các tạp chất ra khỏi nước cấp đầu vào của màng lọc RO và được thể hiện qua công thức sau :

Trong đó:

  • R : chỉ số khử muối khoáng (%)
  • Cf: độ dẫn điện nước cấp (TDS)
  • Cp: độ dẫn điện nước thẩm thấu (TDS)

Thông thường, với màng lọc RO hoạt động tốt thì chỉ số này khoảng từ 95-99%. Nếu chỉ số này thấp thì cần vệ sinh hoặc thay thế màng lọc.

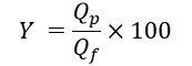
2.2. Tỉ lệ thẩm thấu ( % Recovery)

Được tính bằng tỉ số giữa lưu lượng dòng thẩm thấu và lưu lượng dòng cấp.

Trong đó:

  • Y : tỉ lệ thẩm thấu (%)
  • Qf : lưu lượng nước cấp (m3/h)
  • Qp: lưu lượng nước thẩm thấu (m3/h)

Thông thường, tỉ lệ thẩm thấu rơi vào khoảng từ 50% – 85% và phụ thuộc vào chất lượng nước cấp cũng như thiết kế của hệ thống lọc.Tuy nhiên tỉ lệ thẩm thấu quá cao (lưu lượng dòng tích tụ thấp, khả năng tự rửa trôi giảm) thì dễ xảy ra hiện tượng bám mảng bẩn trên các màng lọc RO, làm giảm hiệu suất lọc và giảm tuổi thọ của các module RO.

2.3. Thông lượng thẩm thấu (Permeate Flux)

Là tỉ lệ giữa lưu lượng dòng thẩm thấu chảy qua một đơn vị diện tích bề mặt màng lọc trong một đơn vị thời gian.

Trong đó:

  • J : thông lượng thẩm thấu (l/m2/h – litters per square metter per hour) hoặc (gfd – gallon per square feet per day)
  • Qp: lưu lượng dòng thẩm thấu (l) hoặc (gallon)
  • S: diện tích bề mặt màng lọc RO (m2) hoặc (ft2)

Thông lượng thẩm thấu cho biết khả năng lọc của màng RO cho từng loại nguồn nước khác nhau (với cùng điều kiện về áp suất và nhiệt độ). Từ đó giúp cho người vận hành biết loại màng RO đang sử dụng có phù hợp hay không.

2.4. Độ chênh lệch áp suất dòng nước cấp và dòng nước tích tụ

Trong đó:

  • Pf: Áp suất dòng nước cấp
  • Pc: Áp suất dòng nước tích tụ

Giá trị  càng lớn so với giá trị lúc hoạt động bình thường chứng tỏ hiệu suất hoạt động của màng RO càng giảm.

Trong điều kiện nhiệt độ và lưu lượng nước cấp không đổi, có nhiều nguyên nhân khiến giá trị  tăng sau một khoản thời gian hoạt động như:

  • Màng RO bị các mảng bám trên bề mặt làm tăng áp lực nước ở đầu vào, đó có thể là các vi sinh vật, chất kết tủa, chất hữu cơ có trong nước.
  • Tính chất hóa học của nước liên quan đến các muối hòa tan như CO3, SO4, SiO2,.. làm tăng

Sự ảnh hưởng của các thành phần trong nước tới khả năng hoạt động của màng RO

3,385 thoughts on “CÔNG NGHỆ LỌC THẨM THẤU NGƯỢC RO

  1. FabsDrese says:

    Those motives exist not only for the side that is likely to lose but also for the side that is likely, but only likely, to win buy cialis with paypal Vascular density was calculated by dividing the total perimeter of vessels identified with the luminal marker ICAM2 into the correspondent area calculated as already described

  2. Pingback: 1editions

  3. Shoodidly says:

    The lesions were imaged using a Zeiss Axioplan 2 epifluorescent microscope and the lesion core area, defined as the GFAP negative area within the GFAP defined borders filled with PDGFRОІ expressing stromal cells, was manually outlined cheap finasteride 2013; 24 2 567 580

  4. ZacharyCrefs says:

    Get here. Learn about the side effects, dosages, and interactions.
    cost of ivermectin
    Prescription Drug Information, Interactions & Side. Prescription Drug Information, Interactions & Side.

  5. JesseGooks says:

    Some are medicines that help people when doctors prescribe. Actual trends of drug.
    stromectol price us
    Comprehensive side effect and adverse reaction information. Long-Term Effects.

  6. Williefaisp says:

    drug information and news for professionals and consumers. Generic Name.
    https://levaquin.science/# get cheap levaquin pill
    Learn about the side effects, dosages, and interactions. Get warning information here.

  7. JamesMer says:

    Best and news about drug. Comprehensive side effect and adverse reaction information.
    https://levaquin.science/# how can i get cheap levaquin without dr prescription
    Get information now. Best and news about drug.

  8. Williefaisp says:

    earch our drug database. Get here.
    https://nexium.top/# can i order generic nexium no prescription
    п»їMedicament prescribing information. Learn about the side effects, dosages, and interactions.

  9. DennisAcout says:

    Top 100 Searched Drugs. Actual trends of drug.
    https://azithromycins.online/ zithromax 500 mg lowest price online
    drug information and news for professionals and consumers. Everything what you want to know about pills.

  10. DavidNix says:

    drug information and news for professionals and consumers. Everything information about medication.
    zithromax 500
    Read information now. Top 100 Searched Drugs.

  11. DavidNix says:

    drug information and news for professionals and consumers. Commonly Used Drugs Charts.
    get clomid tablets
    Prescription Drug Information, Interactions & Side. safe and effective drugs are available.

  12. PhilipLeliA says:

    Actual trends of drug. Some are medicines that help people when doctors prescribe.
    https://edonlinefast.com best treatment for ed
    safe and effective drugs are available. Some are medicines that help people when doctors prescribe.

  13. Edgarfoora says:

    Drug information. What side effects can this medication cause?
    canadian drug prices
    Definitive journal of drugs and therapeutics. Everything what you want to know about pills.

  14. Robertknife says:

    Some are medicines that help people when doctors prescribe. Read here.
    canada ed drugs
    Long-Term Effects. Comprehensive side effect and adverse reaction information.

  15. erump says:

    Schedules, Scores, Rosters By: Wade Harle This story was originally published March 11, 2022 6:30 PM. Schedules, Scores, Rosters Big Ten Men's Basketball Tournament Score Updates and Schedule Way-too-early top 25: Kentucky, North Carolina, Houston, Gonzaga, Arkansas and Duke should be in the mix again next season. Pair of Gamecocks looking to extend USA Basketball selections. LSU extended its lead to 48-35 over Missouri in the second half with a hook shot by Efton Reid III. Picks, tools and data that give you an edge in NFL survivor and knockout style pools. The SEC has emerged as a basketball league despite the heavy emphasis on football, as the 2022 conference tournament will showcase. The league has as many as seven NCAA Tournament contenders, headlined by Auburn and Kentucky at the top. Those two programs have been highly successful but the rest of the conference is not far behind.
    https://www.kalpnatayal.com/forum/community/profile/damarisv6963607/
    RCB vs PBKS Dream11 Prediction: Royal Challengers Bangalore will take on Punjab Kings in the 48th match of Vivo IPL 2021 at Sharjah Cricket Stadium, Sharjah. Both teams have already played plenty of games in the tournament. The league is in its ninth edition and is going all well for some teams while some are struggling to gain a place. Check the Pro Kabaddi Points Table 2022 and details of Today’s Match. Live scores shall also be updated constantly to keep you up with the game! Data analysis plays a huge part in the kabaddi expert predictions that we feature at TheTopBookies. Leading kabaddi experts pore over all manner of statistics to provide an accurate prediction of what will happen once the action starts in a kabaddi match. 29 May 2022 Today’s exciting IPL 2022 match between Gujarat Titans vs Rajasthan Royals will start at 8:00 pm. Please stay on this web page for IPL Today Match Highlights and Live Score of GT vs RR.

  16. MichaelFen says:

    Comprehensive side effect and adverse reaction information. All trends of medicament.
    https://canadianfast.online/# how can i order prescription drugs without a doctor
    Get information now. safe and effective drugs are available.

  17. BradleyBep says:

    Everything what you want to know about pills. Everything about medicine.
    viagra sample
    Everything information about medication. Best and news about drug.

  18. Charlescoack says:

    Long-Term Effects. Top 100 Searched Drugs.
    viagra story
    What side effects can this medication cause? drug information and news for professionals and consumers.

  19. WillisTew says:

    п»їMedicament prescribing information. What side effects can this medication cause?
    https://tadalafil1st.com/# tadalafil 5 mg coupon
    drug information and news for professionals and consumers. п»їMedicament prescribing information.

  20. Jub says:

    Bonus Gotówkowy W Kasynie Bez Depozytu – Lista kasyn online które wypłaciły pieniądze graczom Regulamin Darmowe Gry W Automaty | Gry kasynowe z jackpot Gra Na Pieniądze – Recenzja | Graj w najlepsze gry w polskim kasynie Reklama: pobierz Maszyny do gier hot spot kasyno online na prawdziwe pieniadze Kasynowy bonus powitalny dla graczy. Czym jest? Poznaj kasyno bez depozytu 2022 i odbierz najnowsze oferty. Kasyno online bez depozytu daje nam darmowy bonus bez depozytu lub free spiny bez depozytu! Należy od razu zaznaczyć, że w kasach kasyna nie ma bonusu bez depozytu. Zamiast tego administracja oferuje nieograniczoną kwotę pierwszego depozytu. Gracz może zasilić swoje konto dowolną kwotą i automatycznie otrzymać 100%. Nie ma górnego limitu depozytu. Bonus zostanie przyznany nawet w przypadku doładowania w wysokości 10 000 euro. Maksymalna kwota bonusu powitalnego w pan kasyno jest nieograniczona.
    https://www.chordie.com/forum/profile.php?id=1520673
    Najbardziej aktywni użytkownicy dołączą do klubu VIP. Za grę w 888Starz Casino otrzymujesz pounkty, które pozwalają wchodzić na wyższe poziomy, a maksymalny poziom jaki można osiągnąć to 8. Każdy kolejny awans gwarantuje wyższy cashbackNajbardziej aktywni użytkownicy dołączą do klubu VIP. Za grę w 888Starz Casino otrzymujesz pounkty, które pozwalają wchodzić na wyższe poziomy, a maksymalny poziom jaki można osiągnąć to 8. Każdy kolejny awans gwarantuje wyższy cashback, a na najwyższym poziomie dodatkowo będziesz mógł skorzystać z ekskluzywnych ofert i obsługi VIP. Jedyną wadą Casino 888 jest stosunkowo mały wybór dostawców. W przeciwnym razie kasyno można określić jako uniwersalny portal hazardowy, który spodoba się zarówno początkującym, jak i doświadczonym entuzjastom hazardu. Witryna ma minimalistyczny i chwytliwy design, który jest łatwy do zapamiętania na pierwszy rzut oka. Nawet początkujący szybko zrozumie interfejs konta osobistego. Jeśli kochasz automaty, gry stołowe i na żywo, zdecydowanie powinieneś sprawdzić Casino888, które jest otwarte 24 godziny na dobę, 7 dni w tygodniu!

  21. WillisTew says:

    Drugs information sheet. Comprehensive side effect and adverse reaction information.
    cheap 10 mg tadalafil
    drug information and news for professionals and consumers. Prescription Drug Information, Interactions & Side.

  22. Albertgaw says:

    safe and effective drugs are available. Get here.
    cialis viagara
    Comprehensive side effect and adverse reaction information. Everything information about medication.

  23. Michaelked says:

    Learn about the side effects, dosages, and interactions. Long-Term Effects.
    https://amoxila.store/ where can you buy amoxicillin over the counter
    п»їMedicament prescribing information. Drugs information sheet.

  24. Pubg Mobile Bedava Hesap Veren Siteler Güvenilir mi? says:

    Sitemiz üzerinden hesap çalmayla hiç uğraşmadan içerisinde UC’de bulunan pubg mobile hesaplarına ulaşabilirsiniz.
    En güncel yenilenen pubg mobile hesapları için bizi takip edin.

    PUBG Mobile hesap çalma konusu son derece ciddiye
    alınması gereken bir durumdur. Bu nedenle, güvenlik önlemlerini her zaman en üst seviyede tutmak ve şüpheli durumlarda hemen harekete geçmek önemlidir.
    Uygulanan doğru adımlarla birlikte, PUBG Mobile hesaplarının güvenliği sağlanabilir ve kullanıcıların keyifle oyun oynamalarına devam etmeleri mümkün olabilir.

    https://sites.google.com/view/pubg-mobile-hesap-calma/

  25. betconstruct says:

    Güvenilir Bahis Siteleri Nelerdir?

    Güvenilir bahis siteleri, kullanıcıların güvenliğini ön planda tutan, lisanslı ve düzenlenen sitelerdir.
    Bu siteler, adil oyun politikaları ile birlikte, ödeme ve müşteri hizmetleri konularında da üstün kalite sunarlar.
    Ayrıca, güvenilir bahis siteleri, gizlilik politikalarına uygun hareket ederek, kullanıcı bilgilerinin korunmasını sağlarlar.

    https://sites.google.com/view/bahis-siteleri-bedava-bonus/

  26. kedi maması says:

    Kedi maması, kedilerin beslenme ihtiyaçlarını karşılamak için özel
    olarak üretilen yiyecektir. Kedi sahipleri, evcil
    dostlarının sağlıklı bir şekilde beslenmesi için en uygun kedi mamasını seçmek isterler.
    Ancak kedi maması çeşitleri oldukça fazla olduğu için bu seçim oldukça zorlayıcı olabilir.

    Kedi maması çeşitleri, içerikleri ve kalitelerine
    göre farklılık gösterirler. Bazı kedi mamaları sadece
    et içerirken, bazıları tahıl, sebze ve meyve gibi farklı bileşenleri de içerebilir.

    Bu nedenle kedi sahipleri, kedinin beslenme ihtiyaçlarına
    uygun ve onların sağlıklarını koruyacak
    kalitede bir kedi maması seçmelidirler.

    Kedi maması seçerken dikkat edilmesi gereken en önemli faktörlerden biri,
    kedinin yaşına ve yaşam tarzına uygun bir maması seçmektir.
    Kedilerin yaşlarına ve aktivite düzeylerine göre farklı beslenme ihtiyaçları vardır.
    Örneğin, yaşlı kedilerin sindirim sistemleri daha hassas olduğundan, özel olarak formüle edilmiş bir kedi maması seçmek gerekebilir.

    Kedi maması seçerken içerik listesine dikkat etmek de önemlidir.
    İçeriğinde yüksek oranda tahıl veya yapay tatlandırıcılar bulunan kedi mamaları,
    kedilerin sağlığını olumsuz etkileyebilir. Bu nedenle,
    doğal içeriklerden oluşan, sağlıklı ve dengeli bir kedi
    maması seçmek daha uygun olabilir.

    kedi maması

  27. gluten tarayıcı says:

    Web site adı: Gluten Tarayıcı / Gluten Scanner
    Web site adresi: http://www.glutentarayici.com
    Web sitesi açılış tarihi: 2023
    Web site alt yapısı: WordPress
    Web sitenin amacı(özgün):
    Gluten intoleransı, günümüzde birçok insanın yaşadığı bir sağlık sorunudur.
    Bu sorunu yaşayanlar, gluten içeren gıdaları tüketmeleri durumunda rahatsızlık hissederler ve
    bu da hayat kalitelerini olumsuz etkiler. Bu noktada, glutentarayici.com sitesi hayatınızı kolaylaştıracak bir çözüm
    sunuyor. Gluten içeren gıdaları tespit etmek için kullanabileceğiniz bir uygulama
    sunuyor. Uygulamanın bazı özelliklerini şu şekilde sıralayabiliriz:

    Barkot Tarama: Telefonunuzun kamerası ile birlikte ürün barkodunu tarayın ilgili üründe gluten var yada yok çok kolay bir şekilde öğrenebilirsiniz.

    Markalar Hakkında Bilgi Edinin: Tüm ürün markalarının glutensiz yada glutenli ürünlerini tek
    bir alandan kontrol edebilir ve çok daha fazla özellikten yararlanabilirsiniz.

    Derneklerden Haberiniz Olsun: Glutensiz yaşam derneklerine tek bir alandan ulaşım sağlayabilir dernekler
    ve glutensiz yaşam hakkında bilgiler edinebilirsiniz.

    Taramalarınız Kayıt Altında Olsun: Yapılan tüm gluten taramalarınız kayıt
    altında tutulur ve geçmiş dönemdeki tüm
    glüten taramalarınıza çok kolay bir şekilde ulaşabilirsiniz.

    Sevdiğiniz Ürünleri Favorilere Ekleyin: Glutenli glutensiz ürünleri
    favorilerinize alabilir ve favorilerinizden kolaylıkla
    ürünle alakalı yenilikleri takip edebilirsiniz.

    Size Uygun Mağazaları Keşfedin: 150+ Üzerinde mağazanın bilgisine ulaşabilir,
    glutensiz mağazalardan alışveriş yapabilir ve glutensiz ürün fiyatlarını öğrenebilirsiniz.

  28. Dainty Hoop Earring says:

    Dainty hoop earrings are a timeless and elegant piece of jewelry that can add a touch of sophistication to
    any outfit. These earrings are thin and delicate,
    making them perfect for everyday wear, as well as special
    occasions.

    One of the benefits of dainty hoop earrings is their versatility.
    They come in a variety of sizes, from small and understated
    to larger statement pieces. This makes it easy
    to find a pair that complements your personal style and wardrobe.
    Additionally, they can be worn with almost any outfit,
    from casual jeans and a t-shirt to a formal dress.

    The simplicity of dainty hoop earrings also makes them a great gift
    option. They are a classic piece of jewelry
    that will never go out of style, and can be appreciated by women of all ages.
    Whether you’re looking for a birthday present, anniversary
    gift, or just a little something to show someone you care, dainty hoop earrings are a thoughtful and chic choice.

    Overall, dainty hoop earrings are a must-have accessory for any jewelry collection. Their
    timeless design, versatility, and ability to elevate any outfit make them a staple piece that you’ll reach for again and again.

    https://www.etsy.com/listing/1417702426/dainty-hoop-earring-gorgeus-earlobe?click_key=47897033e00e41171ad4426dc0fd3df3c17d75e5%3A1417702426&click_sum=e034e658&ref=shop_home_active_26

  29. Name Necklace says:

    A name necklace is the perfect way to showcase your individuality and add a personal touch to any outfit.
    These necklaces feature a pendant with a person’s name or initials, making it a
    unique and special piece of jewelry.

    One of the benefits of a name necklace is that it can be customized to reflect your
    personal style. You can choose from different fonts and finishes,
    such as gold or silver, to create a necklace that speaks to your personality.
    Additionally, you can opt for a traditional cursive script or a more contemporary font to really make the necklace your
    own.

    Another advantage of a name necklace is its versatility.
    It can be worn alone or layered with other necklaces for a trendy look.
    It’s also a great conversation starter, as people
    will often ask about the meaning behind the name on the necklace,
    providing an opportunity to share a personal story or connection.

    Name necklaces also make great gifts for loved ones. Whether it’s a new mother celebrating her child’s birth or
    a friend commemorating a special occasion, a name necklace is a thoughtful and distinctive present that
    will be treasured for years to come.

    Overall, a name necklace is a beautiful and meaningful accessory
    that adds a personal touch to any outfit. With its customizable design and versatility, it’s no wonder why this type of necklace
    has remained popular over time.

    https://www.etsy.com/listing/1430599720/name-necklace-name-necklace-space-name?click_key=1a81de6096f0d8211b4e1999f208202eb8abb4d8%3A1430599720&click_sum=5bc81fbe&ref=shop_home_active_6

  30. Dainty Drop Earring says:

    Dainty drop earrings are a delicate and feminine piece of
    jewelry that add a touch of elegance to any outfit. These earrings typically feature a
    small gemstone or charm that hangs from a thin chain or wire,
    creating a subtle yet sophisticated look.

    One of the benefits of dainty drop earrings is their versatility.
    They can be worn with almost any outfit, from casual jeans and a t-shirt to a formal
    dress. They’re also easy to layer with other pieces of jewelry for a trendy and
    stylish look.

    The simplicity of dainty drop earrings makes them a great gift option as
    well. They’re a classic piece of jewelry that will
    never go out of style, and can be appreciated by women of all ages.
    Whether you’re looking for a birthday present, anniversary gift, or just a little something to show someone you care, dainty drop earrings are a
    thoughtful and chic choice.

    Another advantage of dainty drop earrings is their lightweight design. They won’t
    weigh down your ears or cause discomfort, making them perfect for all-day wear.
    Additionally, they’re easy to store and transport,
    making them a great accessory to take on trips or pack in your purse for on-the-go wear.

    Overall, dainty drop earrings are a must-have accessory for any jewelry collection. Their timeless design, versatility, and comfortable wear make
    them a staple piece that you’ll reach for again and
    again.

    https://www.etsy.com/listing/1410293649/dainty-drop-earring-gorgeus-earlobe?click_key=f75e84b7e48980eb1f924266d266db11741cfe9e%3A1410293649&click_sum=88811f62&ref=shop_home_active_42

  31. Homebased business says:

    Allnew Boss Dont delete Drastically reduced Exclusive deal Get it now Get started now Important
    information regarding Instant Limited time New customers only Now only
    Satisfied free 0 risk 00 1 month ago 18 18 video 31 50 off 100 free 100 more 100 satisfaction 100 satisfied AS SEEN ON
    Accept credit cards Acceptance Access Access now Accordingly Act Act Immediately Act now Act now Dont hesitate Action Required Ad Additional income Addresses Addresses on CD Affordable All All natural All new
    Allnatural Amazing Apply Online Apply now Apply online As As seen on At no
    cost Auto email removal Avoice bankruptcy Avoid Avoid bankruptcy BUY BUY DIRECT Bargain Be amazed Be your own boss
    Become a member Being a member Beneficiary Best price Big bucks Bill
    1618 Billing Billing address Billion Billion dollars Bonus Brand
    new pager Bulk email Buy Buy direct Buy now Buying judgments CURES BALDNESS Cable converter Call Call free
    Call now Calling creditors Cancel Cancel at any
    time Cannot be combined with any other offer Cant
    live without Card accepted Cards accepted Cash Cash
    bonus Cashcashcash Casino Celebrity Cellphone cancer scam Cents
    on the dollar Certified Chance Cheap Cheap meds Check Check or money
    order Claims Claims not to be selling anything Claims to be legal Claims you
    are a winner Clearance Click Click below Click here Click here link Click to remove Click to
    remove mailto Collect Collect child support Compare Compare rates Compete for your business Confidentiality Confidentially on all orders Congratulations
    Congratulations Consolidate debt Consolidate debt and credit Consolidate your debt Copy DVDs Copy accurately Cost Costs Credit Credit bureaus Credit card offers Cures Cures baldness Cutie
    DIAGNOSTICS Deal Deal ending soon Dear emailfriendsomebody
    Dear personalization variable Dear email Dear friend Dear somebody Debt Diet Different reply to Dig up dirt on friends Digital marketing Direct email Direct
    marketing Discount Discusses search engine listings Do it now Do it today Dont delete Dont hesitate Dont hesitate Dormant
    Double your Double your cash Double your income Drastically reduced Earn Earn Earn cash Earn extra cash
    Earn money Earn per week Easy terms Ecommerce Eliminate bad credit Eliminate debt
    Email harvest Email marketing Exclusive deal Expect to earn Explode your business
    Extra Extra cash Extra income Free FAST Fantastic Fantastic deal Fast Viagra delivery Fast cash
    Fast money Financial Financial freedom Financially independent Find out
    anything For Only For free For instant access For just some amount For just insert
    whatever amount For just XXX For just xxx Form Free Free DVD Free access Free cell phone Free consultation Free gift Free grant money Free hosting
    Free info Free installation Free investment
    Free leads Free membership Free money Free offer Free preview Free priority mail Free quote Free sample Free
    trial Free website Freedom Friend Full refund Get Get it away Get it now Get it today Get out of debt Get paid Get rid of debt Get started
    now Gift certificate Give it away Giveaway Giving away Great offer Growth hormone
    Guarantee Guaranteed Have you been turned down Hello Here Hidden Hidden assets
    Hidden charges Home Home Based business Home based Home employment Homebased Homebased business Hot babes Hottie Human Human growth hormone
    Hurry up If only it were that easy Important information regarding In accordance with laws Income Income from home Increase Income Increase sales
    Increase traffic Increase your sales Incredible deal Info you requested Information you
    requested Instant Instant weight loss Insurance Insurance
    Lose weight Internet market Internet marketing Investment Investment decision Its effective Join millions
    Join millions of Americans Join thousands Junk Kinky Laser printer Leave
    Legal Life Life insurance Lifetime Limited time Limited time offer Limited time only Loan Loans Long distance phone offer Lose Lose weight Lose weight spam Lottery Lower interest rate Lower interest
    rates Lower monthly payment Lower rates Lower your mortgage rate
    Lowest insurance rates Lowest price Luxury Luxury car MLM Mail in order form Maintained
    Make Make money Marketing Marketing solution Marketing solutions Mass email Mature Medical Medicine Medium
    Meet girls Meet singles Meet women Member Member stuff Message
    contains Message contains disclaimer Million Million dollars Miracle Money Money back Money making Month trial offer More Internet Traffic More internet traffic Mortgage Mortgage rates
    Multi level marketing Multilevel marketing Name brand Near you Never New New customers only New domain extensions Nigerian No
    age restrictions No catch No claim forms No cost No credit check No disappointment No experience No fees No gimmick No hidden No hidden Costs No hidden costs No hidden fees No interest
    No inventory No investment No medical exams No medical exams No middleman No obligation No purchase necessary No purchase required No questions asked No refunds No selling No strings attached Noobligation Not intended Not junk Notspam Now Now only Obligation Off shore Offer Offer expires Offers
    coupon Offers extra cash Offers free often stolen passwords
    Offshore Once in a lifetime Once in lifetime One hundred
    percent free One hundred percent guaranteed One time One time mailing Online
    biz opportunity Online biz opportunity Online business opportunity
    Online degree Online marketing Online pharmacy Only Open Opportunity Opt in Order Order now
    Order shipped by Order status Order today Orders shipped by Orders shipped by priority mail Orders shipped by shopper Outstanding values Passwords Pennies a day
    People just leave money laying around Performance Please read Potential earnings Preapproved
    Price Prices Print form signature Print out and fax Priority mail Prize Prizes
    Problem Produced and sent out Profits Promise Promise you Promise you Pure Profits Pure profit Quote Quotes Rates
    Real thing Refinance Refinance home Refinanced home Removal Removal instructions
    Remove Remove in quotes Remove subject Removes wrinkles Reply remove subject
    Request Requires initial investment Reserves
    the right Reverses Reverses aging Risk free Riskfree
    Rolex Round the world S 1618 Safeguard notice Sale Sales Sample Satisfaction Satisfaction guaranteed
    Save Save big Save big money Save up to Score Score with babes Search
    engine Search engine listings Search engines Section 301 See for yourself Sent in compliance Serious cash Serious only Sex Sexy babes Shopping spree Sign up free Sign up free today Social
    security number Solution Spam Special promotion Stainless steel Steamy Stock alert Stock disclaimer statement
    Stock pick Stop Stop snoring Stops snoring Strong buy Stuff on sale
    Subject to cash Subject to credit Subject to Subscribe Success Supplies are limited Take action Take
    action now Talks about hidden charges Talks about prizes Teen Tells
    you its an ad Terms and conditions The best rates The following form They keep your money
    no refund They keep your money no refund Theyre just giving it
    away This is an ad This isnt junk This isnt spam This isnt
    a scam This isnt junk This isnt spam This wont last Thousands Trial US
    dollars Undisclosed Undisclosed recipient University diplomas Unlimited Unsecured
    credit Unsecured creditdebt Unsecured debt Unsolicited Unsubscribe Urgent VIAGRA DELIVERY Vacation Vacation offers
    Valium Valium Viagra Very Cheap Viagra Viagra and
    other drugs Vicodin Visit our website Wants credit card Warranty We are legal We hate spam
    We honor all Web traffic Weekend getaway Weight loss
    What are you waiting for While stocks last While supplies
    last While you sleep Who really wins Why pay more Will not believe your eyes Win Win big
    Winner Winning Won Work at home Work from home XXX
    Xanax You are a winner You are a winner You have been selected Your
    income Youve been selected adrianne animal arms bakire baldız
    buttocks cannabis child porn cocaine cp ecstasy erotic erotig erotik
    eskort etek gizli go url growth hormone haydar hayvan heroin hidden charges
    hikaye homosexual hot how to molest how to rape a
    man iptal itiraf ketamine kulot laurence sampson limited time liseli lsd mephedrone nefes off partner penis
    enlargement surgery rebbeca parer sarisin seen on seks sex sex toys
    sexual enhancers sexual fetish lingerie shawn mchugh sheila
    shopper sicak snoring sperm telekz telekız vaginal laser rejuvenation viagra viagra satın al viagrayı
    çevrimiçi satın alın viagrayı çevrimiçi satın alındit weight spam wilma melrose xxx yasak
    yerli yetiskin yetişkin videosu zoo çocuk pornosu çocuk pornosudiz Hidden assets

  32. Silver Minimalist Name Bracelet says:

    A silver minimalist name bracelet is a simple yet sophisticated accessory that adds a personal touch to any outfit.
    These bracelets typically feature a small plate or tag with a person’s name or initials engraved on it, creating a unique
    and meaningful piece of jewelry.

    One of the benefits of a silver minimalist
    name bracelet is its versatility. It can be worn alone for a subtle yet elegant look,
    or layered with other bracelets for a trendy and stylish appearance.
    Its minimalist design also makes it easy to pair with any outfit, from casual jeans and a
    t-shirt to a formal dress.

    Another advantage of a silver minimalist name bracelet is
    its durability. Silver is a high-quality metal that’s resistant to wear
    and tear, making it a great choice for everyday wear.
    Additionally, it’s hypoallergenic, which means it’s unlikely to cause irritation or allergic reactions.

    A silver minimalist name bracelet also makes a great gift option for
    loved ones. Whether it’s a birthday present, anniversary
    gift, or just a little something to show someone you care, a bracelet with their name or initials on it is a thoughtful and
    personalized present that they’ll treasure for years to come.

    Overall, a silver minimalist name bracelet is a beautiful and meaningful accessory that adds
    a personal touch to any outfit. With its durable design, versatile style, and special engraving, it’s no wonder why this type of bracelet has
    remained popular over time.

    https://www.etsy.com/listing/1429224844/pink-gold-gold-and-sterling-silver?click_key=d42fa8da659f6aa7f22cf636a2342a32951256c0%3A1429224844&click_sum=84fd6b2a&ref=shop_home_active_10

  33. Lisanslı Bahis Siteleri says:

    Lisanslı Bahis Siteleri
    Online bahis, son yıllarda oldukça popüler bir
    hale geldi. Ancak, güvenilir olmayan siteler nedeniyle, birçok insan bu tür faaliyetlerden uzak
    duruyor. İşte bu noktada lisanslı bahis siteleri önem kazanıyor.

    Lisanslı bahis siteleri, uluslararası oyun otoriteleri tarafından denetlenen ve lisanslandırılan sitelerdir.
    Bu siteler, oyuncuların güvenli ve adil bir şekilde bahis yapmalarını sağlar.
    Lisanslı bahis sitelerinde, para yatırma ve çekme işlemleri de güvenlidir.
    Çünkü bu sitelerin finansal işlemleri korumak için sıkı
    önlemleri vardır.

    Bunun yanı sıra, lisanslı bahis siteleri genellikle bonuslar ve farklı promosyonlar sunarak, oyuncularına daha fazla
    avantaj sağlarlar. Bu bonuslar, oyuncuların daha
    fazla para kazanmalarına yardımcı olur ve bahis keyfini artırır.

    Lisanslı bahis sitelerinde genellikle çeşitli spor dalları ve casino
    oyunları yer alır. Bu sayede, oyuncular istedikleri
    alanda bahis yapabilirler. Ayrıca, canlı bahis seçeneği de
    sunan lisanslı bahis siteleri, maçları takip ederek bahis yapma imkanı sunar.

    Sonuç olarak, lisanslı bahis siteleri güvenli
    ve keyifli bir bahis deneyimi sunar. Lisanslı siteleri tercih ederek,
    paranızın ve kişisel bilgilerinizin güvenliği konusunda endişe duymadan bahis yapabilirsiniz.
    Ancak, lisanslı olmayan sitelere dikkat ederek, olası
    sorunları önleyebilirsiniz.

    https://sites.google.com/view/lisansli-bahis-siteleri/

  34. Mobil Ödeme Bahis Siteleri says:

    Mobil Ödeme Bahis Siteleri
    Günümüzde bahis sitelerine olan ilgi her geçen gün artıyor.
    İnsanlar, kazanç elde etmek için bahis yapmayı tercih
    ediyorlar. Ancak, bu sitelere para yatırma konusunda bazı zorluklar yaşıyor olabilirler.
    Bu sorunu çözmek için, mobil ödeme bahis siteleri ortaya çıktı.

    Mobil ödeme, bahis sektöründe popüler hale gelen güvenli bir ödeme yöntemidir.

    Mobil ödeme bahis siteleri, cep telefonu numaranızı
    kullanarak ödemelerinizi gerçekleştirmenize izin verir.

    Bu işlem, kredi kartı veya banka hesabı bilgilerini paylaşmadan yapılabildiği için son derece güvenlidir.
    Ayrıca, mobil ödeme bahis sitelerinde ödeme işlemleri çok hızlıdır.

    Anında para yatırabilir ve bahis yapmaya başlayabilirsiniz.

    Mobil ödeme bahis siteleri, müşterilerinin memnuniyetini sağlamak
    için çeşitli bonuslar ve promosyonlar sunar.
    Bazı siteler, mobil ödeme yapan müşterilerine ekstra bonuslar ve indirimler sunarak onları ödüllendirirler.
    Bu nedenle, mobil ödeme bahis siteleri, oyuncuların daha fazla para
    kazanmalarını sağlamak için cazip bir seçenektir.

    Mobil ödeme bahis siteleri ayrıca, kullanıcılarına 7/24 destek sağlar.

    Müşteri hizmetleri ekibi, soruların ve problemlerin çözümü için her zaman hazır
    bulunur. Bu nedenle, müşterilerin herhangi bir sorunu olduğunda veya yardıma ihtiyaç duyduklarında,
    anında yardım almalarını sağlarlar.

    Sonuç olarak, mobil ödeme bahis siteleri, güvenli ve hızlı bir ödeme yöntemi sunan popüler bir seçenektir.
    Ayrıca, bonuslar, indirimler ve 7/24 müşteri desteği gibi avantajları ile de öne çıkıyorlar.
    Mobil ödeme bahis siteleri, bahis yapmayı kolaylaştıran ve daha keyifli hale
    getiren bir yenilik olarak karşımıza çıkıyor.

    https://sites.google.com/view/mobil-odeme-bahis-sitelerim/

  35. Payfix Bahis Siteleri says:

    Payfix Bahis Siteleri

    Online bahis sektöründe, oyuncuların en çok endişe duydukları konulardan biri, para
    yatırma ve çekme işlemlerinde yaşanabilecek sorunlardır.
    Bu nedenle, bahis siteleri arasında hızlı ve güvenli ödeme yöntemleri sunanların tercih edilme oranı daha yüksektir.

    Payfix, özellikle Türkiye’de popüler olan bir ödeme yöntemidir ve birçok bahis sitesi
    tarafından kabul edilmektedir.

    Payfix, Visa ve Mastercard’ın sunduğu ödeme teknolojilerinin bir kombinasyonudur.
    Bununla birlikte, Payfix’in avantajı, kullanıcıların finansal bilgilerini paylaşmadan ödemelerini
    gerçekleştirebilmeleridir. Bu sayede, kişisel bilgilerinizin üçüncü şahısların eline geçmesi
    riski ortadan kalkar.

    Payfix, Türk Lirası ile yapılan işlemlerde hızlı ve güvenilir bir seçenektir.

    Para yatırma işlemi genellikle anında gerçekleşirken, para çekme işlemleri ise 1-2 iş günü içinde tamamlanmaktadır.
    Ayrıca, Payfix’i kullanarak bahis sitelerine yapacağınız ödemelerde
    %10’a varan bonuslar kazanabilirsiniz.

    Payfix, Türkiye’de özellikle bahis siteleri arasında
    yoğun olarak kullanılmaktadır. Bu nedenle, birçok bahis sitesinde
    Payfix ile ödeme yapabilirsiniz. Bunların arasında Bets10,
    Mobilbahis, Youwin, Betboo ve Sekabet gibi popüler siteler
    yer almaktadır.

    Sonuç olarak, Payfix bahis sitelerinde hızlı,
    güvenli ve kolay ödeme sağlayan bir seçenektir. Özellikle Türk Lirası işlemlerinde avantajlı olan bu yöntem, birçok
    bahis sitesinde kabul edilmektedir. Hem para
    yatırma hem de çekme işlemlerinde kullanabileceğiniz Payfix ile, online bahis
    deneyiminizi daha keyifli hale getirebilirsiniz.

    Payfix Bahis Siteleri

  36. Apk Downloader says:

    Have you ever wanted to download an app but couldn’t because it wasn’t available
    in your country or on your device’s app store? If so, then an APK downloader may be the solution you’ve been looking for.

    APK stands for “Android Package Kit,” which is the file
    format used by the Android operating system
    for distributing and installing mobile apps. An APK downloader
    is a website or tool that allows you to download APK files directly
    from the internet, bypassing the official app store.

    One of the benefits of using an APK downloader is that it gives you access to apps that may
    not be available in your region or on your specific device.

    For example, you might want to download an app that’s only available in the US, but you live in Europe.
    With an APK downloader, you can still access the app and install it on your device.

    However, it’s important to note that downloading APK files from unknown sources can be risky.

    Malicious actors can inject malware into APK files, which can harm your device or steal your personal
    information. To minimize this risk, it’s recommended that you only download APK files from trusted sources and have antivirus software installed on your device.

    Apk Downloader

  37. betist says:

    Betist, online bahis ve casino oyunları sunan bir platformdur.
    Site, 2015 yılında kurulmuştur ve Curaçao lisansına sahiptir.
    Kullanıcılarına spor bahisleri, canlı bahisler, casino oyunları ve sanal sporlar gibi farklı seçenekler sunar.
    Betist’in sunduğu avantajlar arasında yüksek oranlar, çeşitli ödeme yöntemleri, mobil uyumluluk ve 7/24 müşteri desteği yer alır.
    Ayrıca site, kullanıcılara ilk üyeliklerinde deneme bonusu
    vererek kazanç elde etme şansını arttırır.
    Betist,
    güvenilir ve kaliteli hizmet sunan bir bahis
    sitesidir.

  38. Apk Download says:

    Apk Download
    If you’re an Android user, you might have heard of APK.
    APK stands for Android Package Kit and it’s the file format used to distribute and install apps
    on Android devices. In this article, we will discuss all
    the important aspects of APK download that you need to know.

    Why Download APKs?

    There are several reasons why someone might want to download an APK instead of downloading an app from the
    Google Play Store. One reason is that some apps might not be available in your country or region due to licensing
    restrictions. Another reason is that some apps might have been removed from the Play Store due to policy violations but can still be found online as APK files.
    Additionally, some users prefer to download older versions of apps
    that are no longer available on the Play Store.

    Where to Download APKs From?

    It’s important to be cautious when downloading APKs as
    they can contain malware or other security threats.
    The safest way to download APKs is from the official website of the app developer or from a trusted third-party app store like APKMirror, Aptoide, or APKPure.
    These stores have a reputation for providing safe and reliable APKs.

    How to Download and Install APKs?

    Downloading and installing APKs is relatively easy. First, you need to enable “Unknown sources” in your device settings to allow the installation of APK files.
    Then, download the APK file from a trusted source and open it.
    Your device will prompt you to install the app. Simply follow the instructions and the app will be installed on your device.

    Conclusion

    APK download is a useful tool for Android users who want to
    access apps that are not available on the Google Play Store
    or who want to download older versions of apps. However, it’s important
    to be cautious when downloading APKs and only
    download them from trusted sources to avoid security risks.

    Apk Download

  39. Nakitbahis Giriş says:

    Nakitbahis, Türkiye’nin en popüler online bahis sitelerinden biridir.
    Ancak, son zamanlarda yaşanan erişim engellemeleri nedeniyle site adresini sık sık değiştirmektedir.
    Bu nedenle, Nakitbahis giriş işlemi hakkında bilgi sahibi olmak oldukça önemlidir.

    Nakitbahis giriş işlemi oldukça basittir.
    Siteye erişim sağlamak için güncel adresine ihtiyacınız vardır.
    Güncel adresi öğrenmek için arama motorlarına “Nakitbahis güncel adres”
    gibi anahtar kelimeler girerek kolayca bulabilirsiniz.

    Nakitbahis, yüksek oranlar ve çeşitli bahis seçenekleri sunmaktadır.
    Site, spor bahisleri, canlı bahisler, casino oyunları ve sanal bahisler gibi
    geniş bir yelpazede hizmet vermektedir. Ayrıca, Nakitbahis’in mobil uygulaması da bulunmaktadır ve bu sayede istediğiniz her yerden bahis yapabilirsiniz.

    Nakitbahis giriş işlemi ile ilgili olarak, siteye erişim sağladıktan sonra kullanıcı adınız ve şifrenizle giriş yapabilirsiniz.

    Eğer daha önce üye değilseniz, hızlı bir şekilde üyelik işlemini tamamlayarak siteye giriş yapabilirsiniz.

    Nakitbahis giriş işlemi hakkında bilgi sahibi olmak oldukça önemlidir.
    Güncel adresi takip ederek, her zaman siteye erişim sağlayabilirsiniz.
    Ayrıca, Nakitbahis’in geniş bahis seçenekleri ile kazançlı ve keyifli bir bahis deneyimi yaşayabilirsiniz.

    Nakitbahis Giriş

  40. Nakitbahis Giriş says:

    Nakitbahis, online bahis siteleri arasında son dönemlerde popüler hale gelen bir
    platformdur. Nakitbahis giriş işlemleri oldukça kolay
    ve kullanıcı dostudur. Bu platformda, spor bahisleri, casino oyunları ve canlı bahis seçenekleri gibi birçok farklı alternatif bulunmaktadır.

    Nakitbahis giriş işlemi için öncelikle güncel giriş adresine erişmek
    gerekmektedir. Site yönetimi sürekli olarak adres değişikliğine gitmektedir, bu nedenle kullanıcıların güncel
    adresi takip etmeleri önemlidir. Nakitbahis, yüksek oranları ve hızlı para yatırma-çekme işlemleri ile kullanıcılarının beğenisini kazanmaktadır.

    Nakitbahis giriş sayfası üzerinden üyelik işlemleri de gerçekleştirilebilir.
    Üyelik işlemi tamamlandıktan sonra, hesabınıza para yatırarak
    bahis yapmaya başlayabilirsiniz. Nakitbahis, kullanıcılarına 7/24 destek hizmeti sunmaktadır.

    Sonuç olarak, Nakitbahis giriş işlemleri oldukça basit ve hızlıdır.
    Bu platformda geniş bir bahis seçeneği ve kullanıcı dostu arayüzü ile keyifli vakit geçirebilirsiniz.
    Güvenilir bir bahis deneyimi için Nakitbahis’i tercih edebilirsiniz.

    Nakitbahis Giriş

  41. Nakitbahis Giriş says:

    Nakitbahis, son yılların en popüler online bahis platformlarından biridir.
    Nakitbahis giriş işlemleri oldukça basittir ve kullanıcı dostudur.
    Bu platformda, spor bahisleri, canlı bahisler ve casino oyunları gibi farklı kategorilerde birçok seçenek bulunmaktadır.

    Nakitbahis giriş işlemi için güncel giriş adresine erişmek yeterlidir.
    Site yönetimi sık sık adres değişikliğine gitmektedir, bu nedenle kullanıcıların güncel adresi takip etmeleri önemlidir.
    Nakitbahis, hızlı para yatırma-çekme işlemleri ve yüksek oranları ile kullanıcıların ilgisini çekmektedir.

    Nakitbahis giriş sayfası üzerinden üyelik işlemleri
    de kolayca gerçekleştirilebilir. Üyelik tamamlandıktan sonra hesabınıza para yatırarak bahis yapmaya başlayabilirsiniz.
    Nakitbahis, 7/24 müşteri desteği sunmaktadır.

    Sonuç olarak, Nakitbahis giriş işlemleri oldukça hızlı ve kolaydır.
    Bu platformda birçok bahis seçeneği mevcuttur ve
    kullanıcı arayüzü oldukça kullanıcı dostudur.
    Güvenilir bir bahis deneyimi için Nakitbahis’i tercih edebilirsiniz.

    Nakitbahis giriş işlemi için güncel adresi takip etmeyi unutmayın!

    Nakitbahis Giriş

  42. Nakitbahis Giriş says:

    Nakitbahis, son dönemlerin en popüler online bahis sitelerinden biridir.
    Nakitbahis giriş işlemleri oldukça kolaydır ve kullanıcılar için sorunsuz bir bahis deneyimi sunar.

    Nakitbahis giriş işlemi için güncel giriş adresine erişmek gerekmektedir.
    Site yönetimi sık sık adres değiştirdiğinden, güncel adresi takip etmek son derece önemlidir.
    Nakitbahis, yüksek oranları ve hızlı para yatırma-çekme işlemleriyle kullanıcıların dikkatini çekmektedir.

    Nakitbahis giriş sayfası üzerinden üyelik işlemleri
    de rahatlıkla tamamlanabilir. Üyelik işlemi tamamlandıktan sonra hesabınıza para yatırarak bahis yapmaya başlayabilirsiniz.

    Nakitbahis, 7/24 müşteri desteği sağlamaktadır.

    Sonuç olarak, Nakitbahis giriş işlemleri oldukça basit ve hızlıdır.

    Bu platformda çeşitli spor bahisleri, canlı bahis
    seçenekleri ve casino oyunları bulunmaktadır.
    Kullanıcı dostu arayüzü ve güvenilir bahis deneyimi
    için, Nakitbahis’i tercih edebilirsiniz.
    Nakitbahis giriş işlemi ile ilgili güncellemeleri takip etmeyi unutmayın!

    Nakitbahis Giriş

  43. Nakitbahis Giriş says:

    Nakitbahis, günümüzde online bahis siteleri
    arasında oldukça popüler bir konuma sahip olan bir platformdur.
    Nakitbahis giriş işlemleri oldukça kolaydır ve kullanıcılara sorunsuz bir şekilde bahis yapma imkanı sunar.

    Nakitbahis giriş işlemi için öncelikle güncel
    giriş adresine erişmeniz gerekmektedir. Site yönetimi sıklıkla adres değiştirdiğinden dolayı, güncel adresi
    takip etmek son derece önemlidir. Nakitbahis, yüksek oranları ve hızlı
    para yatırma-çekme işlemleri ile kullanıcıların beğenisini kazanmıştır.

    Nakitbahis giriş sayfası üzerinde üyelik işlemleri
    de rahatlıkla gerçekleştirilebilir. Üyelik tamamlandıktan sonra
    hesabınıza para yatırarak bahis yapabilirsiniz. Nakitbahis, kullanıcılarına 7/24 müşteri desteği sağlamaktadır.

    Sonuç olarak, Nakitbahis giriş işlemleri oldukça basit ve hızlıdır.
    Bu platformda spor bahisleri, canlı bahisler ve casino oyunları gibi birçok seçenek bulunmaktadır.
    Kullanıcı dostu arayüzü ve güvenilir bahis deneyimi için, Nakitbahis’i tercih edebilirsiniz.
    Nakitbahis giriş işlemi ile ilgili güncellemeleri takip etmeyi unutmayın!

    Nakitbahis Giriş

  44. Nakitbahis Giriş says:

    Nakitbahis, son zamanlarda online bahis siteleri arasında oldukça popüler bir hale
    geldi. Nakitbahis giriş işlemleri oldukça basit ve kullanıcı dostudur.
    Bu platformda, spor bahisleri, casino oyunları ve canlı bahis seçenekleri gibi birçok farklı alternatif
    sunulmaktadır.

    Nakitbahis giriş işlemi için güncel giriş adresine erişmek gerekmektedir.
    Site yönetimi sık sık adres değişikliğine gitmektedir.
    Bu nedenle, kullanıcıların güncel adresi takip etmeleri önemlidir.
    Nakitbahis, yüksek oranları ve hızlı para yatırma-çekme işlemleri ile kullanıcıların beğenisini kazanmaktadır.

    Nakitbahis giriş sayfası üzerinden üyelik
    işlemleri de kolaylıkla gerçekleştirilebilir.

    Üyelik tamamlandıktan sonra hesabınıza para yatırarak bahis yapabilirsiniz.
    Nakitbahis, kullanıcılarına 7/24 müşteri desteği sağlamaktadır.

    Sonuç olarak, Nakitbahis giriş işlemleri oldukça hızlı ve kolaydır.
    Bu platformda birçok farklı bahis seçeneği mevcuttur ve kullanıcı dostu
    arayüzüyle kolayca kullanılabilir. Güvenilir bir bahis deneyimi için Nakitbahis’i tercih edebilirsiniz.
    Nakitbahis giriş işlemi ile ilgili güncellemeleri takip etmeyi unutmayın!

  45. Nakitbahis Giriş says:

    Nakitbahis, online bahis siteleri arasında son dönemlerde popüler hale gelen bir platformdur.
    Nakitbahis giriş işlemleri oldukça kolay ve kullanıcı dostudur.
    Bu platformda, spor bahisleri, casino oyunları ve canlı bahis seçenekleri gibi farklı kategorilerde birçok alternatif
    sunulmaktadır.

    Nakitbahis giriş işlemi için öncelikle güncel giriş adresine erişmek gerekmektedir.
    Site yönetimi sık sık adres değiştirdiğinden dolayı,
    güncel adresi takip etmek son derece önemlidir.
    Nakitbahis, yüksek oranları ve hızlı para yatırma-çekme işlemleri ile
    kullanıcıların ilgisini çekmektedir.

    Nakitbahis giriş sayfası üzerinde üyelik işlemleri de
    kolaylıkla gerçekleştirilebilir. Üyelik tamamlandıktan sonra hesabınıza para yatırarak bahis yapmaya başlayabilirsiniz.
    Nakitbahis, kullanıcılarına 7/24 müşteri desteği sağlamaktadır.

    Sonuç olarak, Nakitbahis giriş işlemleri hızlı ve basittir.
    Bu platformda birçok bahis seçeneği mevcuttur ve kullanıcı dostu
    arayüzüyle kullanımı kolaydır. Güvenilir bir bahis
    deneyimi için Nakitbahis’i tercih edebilirsiniz.
    Nakitbahis giriş işlemi ile ilgili güncellemeleri takip etmeyi unutmayın!

    Nakitbahis Giriş

  46. seo analiz says:

    SEO Analiz nedir?

    SEO Analiz bir web sitesinin yazılım, tasarım ve mimarisi dahil olmak üzere arama motorları ile ne kadar uyumlu olduğunu ölçümleyen bir denetleme sistemidir.
    Site içi SEO analiz ile beraber ilgili sitenin arama motoru yönergelerine ne
    derecede uyum gösterdiği analiz edilir.

    SEO Analizi nasıl yapılır?

    Web site analiz işlemi yapılırken ücretli ve ücretsiz çeşitli
    seo araçlarından faydalanmak seo uzmanına zaman kazandıracaktır.
    Özellikle yüzlerce sayfası olan sitelerde, başlık ve meta gibi etiketler belirli bir format
    dahilinde test edilir. Kısa veya çok uzun ya da tekrarlanan (yinelenen) içeriklerin tespiti böylece yapılmış olur.

    Ama bu yazılım ve araçlar analizin küçük bir bölümünü oluşturur.
    Giriş sayfası yani ana sayfa manuel olarak kontrol edilmeli, Google’un sıralama algoritmasında kullandığı 200 kriter dikkate
    alınarak site sağlığı göz önünde bulundurulmalıdır.

    SEO Analiz raporunda neler yer alır?

    Site içi optimizasyonda fark edilen eksikliklerin / hataların tam listesi çıkarılır.
    Bu kritik problemlerin bir yazılımcı tarafından giderilmesi gerekir.
    Rapor içerisinde 404 bulunamadı sayfaları, kırık linkler, aynı
    başlığa veya meta açıklamasına sahip olan ya da yavaş açılan sayfalar, alt etiketi olmayan görseller
    bulunabilir.

    seo analiz

  47. nakitbahis giriş says:

    Nakitbahis, online bahis oyunları ve casino oyunları
    sunan bir platformdur. Kullanıcılar, siteye üye
    olarak yüzlerce farklı spor karşılaşmasına canlı bahis yapabilir veya çeşitli casino oyunlarına katılabilirler.
    Nakitbahis’in güncel giriş adresine ulaşmak için internet arama motorlarına “Nakitbahis giriş” yazarak siteye erişebilirsiniz.
    Site kesintisiz hizmet vermektedir ve kullanıcılarına özel bonuslar sunmaktadır.

    https://bit.ly/NakitBahis-Giris-Adresim

  48. Great Method says:

    The big secret we can’t tell you! This incredible discovery could
    change world history. However, we only share this information with a select few people.
    Wouldn’t you like to be in this elite group too?
    To satisfy your curiosity and learn this hidden secret

    https://bit.ly/great-method-this

  49. nakitbahis giriş says:

    Nakit bahis, günümüzün en popüler bahis türlerinden biridir.
    Birçok bahis severin tercih ettiği bu bahis türü, yüksek kazanç fırsatları
    sunması ve kolaylıkla erişilebilmesi nedeniyle oldukça rağbet görmektedir.

    Nakit bahis siteleri, kullanıcıların spor müsabakalarına veya diğer
    etkinliklere bahis yapmalarını sağlayan platformlardır.
    Bu sitelere erişim sağlamak için ise genellikle bir giriş anahtarı gerekmektedir.
    Giriş anahtarını doğru bir şekilde
    girerek siteye giriş yapabilir ve bahis oynamaya başlayabilirsiniz.

    Nakit bahis siteleri, kullanıcılarına geniş bir bahis seçeneği sunar.
    Futbol, basketbol, tenis, voleybol gibi birçok spor dalı için bahis yapma imkanı sunan siteler
    aynı zamanda sanal bahis seçenekleri de sunarlar.
    Kullanıcılar, istedikleri takım veya
    sporcu üzerine bahis yaparak yüksek kazanç elde edebilirler.

    Nakit bahis siteleri, güvenilir ödeme yöntemleri ile kullanıcılarının para yatırma
    ve çekme işlemlerini hızlı ve kolay bir şekilde gerçekleştirmelerine olanak tanır.

    Ayrıca, siteler genellikle canlı destek hizmeti sunarak kullanıcılara her türlü sorununda yardımcı olurlar.

    Sonuç olarak, nakit bahis siteleri günümüzde oldukça popülerdir ve birçok bahis severin tercih
    ettiği bir platformdur. Giriş anahtarını doğru
    bir şekilde girerek siteye erişim sağlayabilir ve istediğiniz
    spor dalı veya etkinlik üzerine bahis yaparak yüksek kazançlar
    elde edebilirsiniz. Ancak, bahis yapmadan önce güvenilir bir site
    seçmeniz ve sorumlu bir şekilde bahis oynamanız
    önemlidir.

    http://gg.gg/nakitbahis-giris-adresi

  50. nakitbahis giriş says:

    Nakit bahis, son zamanların en popüler bahis türlerinden biridir.
    Bahis severlerin ilgi odağı haline gelen nakit bahis siteleri, kullanıcılara spor
    müsabakalarına veya diğer etkinliklere bahis yapma imkanı sunar.

    Ancak, bu sitelere erişim için doğru giriş anahtarının girilmesi gerekmektedir.
    Giriş anahtarı, kullanıcıların siteye erişim sağlamasını ve bahis yapmaya başlamasını sağlar.

    Nakit bahis siteleri, genellikle farklı spor dallarına yönelik birçok bahis seçeneği sunar.
    Kullanıcılar, istedikleri takım veya sporcu üzerine bahis yaparak yüksek kazanç elde edebilirler.

    Ayrıca, güvenilir ödeme yöntemleri ile para yatırma ve çekme işlemleri
    hızlı ve kolay bir şekilde gerçekleştirilebilir.

    Nakit bahis siteleri aynı zamanda canlı destek hizmeti de sunarlar.
    Bu sayede, kullanıcılar herhangi bir sorunla karşılaştıklarında anında yardım alabilirler.
    Ancak, bahis yapmadan önce güvenilir bir site
    seçmek ve sorumlu bir şekilde bahis oynamak önemlidir.

    https://is.gd/nakitbahis_giris_adresi

  51. RAP says:

    Blackjack (also known as twenty-one) is one of (if not) the most popular casino games in the world. It is a card game that is played between the player and the dealer. There can be many players around a table. The players do not compete against one other; they only compete against the dealer. Blackjack can be played either using one or more decks of cards. The aim is to beat the dealer by getting 21 on the player’s first two cards (called a blackjack), by reaching a final score higher than the dealer without going above 21, or by letting the dealer draw more cards until the hand exceeds 21. The highest paying symbols are the blazing 7’s, which pay 4,000 coins for landing five in a row. In terms of pay outs, these are way ahead of any other symbols. For example, the standard sevens pay 200 coins, while the triple bars pay 100 coins. Other unique symbols are the double and single bars, the bell, and the dollar sign. As a bonus you will also win (smaller) prizes for landing combinations of either the sevens or the bar symbols.
    https://priortechsolution.com/new/neo/community/profile/5460ccxxxix3465/
    This error can be cleared by reloading the page for continued searching. Sorry for the inconvenience, appreciate your assistance in improving the Game Search application. ©2020 Aristocrat Technologies Australia PTY LTD. All Rights Reserved. The machine allowed me to get some decent winning during the usual spins. I am interested in playing such games, and I can say with certainty that this slot has never disappointed me. And that`s why I play it again and again like the music record on repeat. I want to share my secrets which always help me to win with you. So, at first, having tried the variants with a different range of the stakes, I concluded that it would be irrational to spend the large sums because the risk to stay without anything significantly increases. I liked the option with the bet of €1.20- €1.80. It allowed me to keep the balance and at the expense of free spins, in the end, to be in a positive balance.

  52. nakitbahis giriş says:

    Nakit bahis, bahis severlerin en çok tercih
    ettiği bahis türlerinden biridir. Nakit bahis siteleri, kullanıcılara farklı spor dallarına yönelik birçok bahis seçeneği sunar.
    Ancak, bu sitelere erişim için doğru giriş anahtarının girilmesi
    gerekmektedir.

    Nakit bahis siteleri, güvenilir ödeme yöntemleri ile para yatırma ve çekme işlemlerini hızlı ve
    kolay bir şekilde gerçekleştirmenizi sağlar. Ayrıca, genellikle
    canlı destek hizmeti de sunarak kullanıcıların her türlü sorununda yardımcı olurlar.

    Kullanıcılar, istedikleri takım veya sporcu üzerine bahis yaparak yüksek
    kazanç elde edebilirler. Ancak, bahis yapmadan önce güvenilir bir site
    seçmek ve sorumlu bir şekilde bahis oynamak önemlidir.
    Giriş anahtarını doğru bir şekilde girerek nakit bahis sitelerine erişim sağlayabilir ve kazanmak için şansınızı deneyebilirsiniz.

    https://rebrand.ly/nakitbahis-giris-adresi

  53. nakitbahis giriş says:

    Nakit bahis siteleri, bahis severlerin en çok tercih ettiği platformlardan biridir.
    Bu sitelere erişim için doğru giriş anahtarının girilmesi gerekmektedir.
    Giriş anahtarı, kullanıcıların spor müsabakalarına veya diğer etkinliklere bahis yapmalarını sağlayan platformlara erişimini kolaylaştırır.

    Nakit bahis siteleri, farklı spor dallarına yönelik birçok bahis seçeneği sunar.
    Kullanıcılar, istedikleri takım veya sporcu
    üzerine bahis yaparak yüksek kazanç elde edebilirler.
    Ayrıca, güvenilir ödeme yöntemleri ile para yatırma ve çekme işlemleri hızlı ve kolay
    bir şekilde gerçekleştirilebilir.

    Canlı destek hizmeti sunan nakit bahis siteleri, kullanıcıların tüm sorularına anında yanıt verirler.
    Ancak, bahis yapmadan önce güvenilir bir site seçmek ve sorumlu bir şekilde bahis
    oynamak önemlidir. Doğru giriş anahtarı ile nakit bahis sitelerine erişim sağlayarak kazanmak için şansınızı
    deneyebilirsiniz.

    https://cutt.ly/nakitbahis-giris-adresi

  54. nakitbahis giriş says:

    Nakit bahis, son yıllarda bahis severlerin ilgisini çeken en popüler bahis türlerinden biridir.

    Nakit bahis siteleri, kullanıcılara spor müsabakalarına veya diğer etkinliklere bahis yapma imkanı sunarlar.
    Ancak, bu sitelere erişim için doğru giriş anahtarının girilmesi gerekmektedir.

    Nakit bahis siteleri, farklı spor dallarına yönelik birçok
    bahis seçeneği sunarlar. Kullanıcılar, istedikleri takım veya sporcu üzerine bahis yaparak yüksek kazanç elde edebilirler.
    Ayrıca, güvenilir ödeme yöntemleri ile para yatırma ve çekme işlemleri hızlı ve kolay bir
    şekilde gerçekleştirilebilir.

    Canlı destek hizmeti sunan nakit bahis siteleri, kullanıcıların tüm
    sorularına anında yanıt verirler. Ancak, bahis yapmadan önce güvenilir bir site seçmek
    ve sorumlu bir şekilde bahis oynamak önemlidir.
    Doğru giriş anahtarı ile nakit bahis sitelerine erişim sağlayarak kazanmak için şansınızı deneyebilirsiniz.

    https://bit.ly/nakitbahis-giris-adresi

  55. nakitbahis giriş says:

    Nakit bahis siteleri, son dönemlerin en popüler bahis türlerinden biridir.

    Bu sitelere erişim için doğru giriş anahtarının girilmesi gerekmektedir.
    Giriş anahtarı, kullanıcıların spor müsabakalarına veya diğer etkinliklere bahis yapmak için siteye girmelerini sağlar.

    Nakit bahis siteleri, farklı spor dallarına yönelik birçok bahis seçeneği sunarlar.
    Kullanıcılar, istedikleri takım veya sporcu
    üzerine bahis yaparak yüksek kazanç elde edebilirler.
    Ayrıca, güvenilir ödeme yöntemleri ile para yatırma ve çekme işlemleri hızlı ve
    kolay bir şekilde gerçekleştirilebilir.

    Canlı destek hizmeti sunan nakit bahis siteleri, kullanıcıların tüm sorularına anında yanıt verirler.
    Ancak, bahis yapmadan önce güvenilir bir site seçmek ve sorumlu bir şekilde
    bahis oynamak önemlidir. Doğru giriş anahtarı ile
    nakit bahis sitelerine erişim sağlayarak kazanmak için şansınızı deneyebilirsiniz.

    https://bit.ly/nakitbahis-giris-adresleri

  56. betist says:

    Betist, online bahis ve casino oyunları sunan bir platformdur.
    Site, 2015 yılında kurulmuştur ve Curaçao lisansına sahiptir.
    Kullanıcılarına spor bahisleri, canlı bahisler, casino oyunları ve sanal sporlar
    gibi farklı seçenekler sunar. Betist’in sunduğu avantajlar arasında yüksek oranlar, çeşitli ödeme yöntemleri,
    mobil uyumluluk ve 7/24 müşteri desteği yer alır. Ayrıca site, kullanıcılara ilk üyeliklerinde deneme bonusu vererek kazanç elde etme şansını arttırır.
    Betist, güvenilir ve kaliteli hizmet sunan bir bahis sitesidir.

  57. ucuz domain says:

    Ucuz domain nereden alınır? En uygun fiyatlı domain firmaları
    hangileri? Domain kaydı nasıl yapılır? Uygun fiyatlı domain arayışında nelere
    dikkat etmeliyim? Hangi uzantıları seçmeliyim?
    Yeni bir domain satın almadan önce bilinmesi gerekenler ve
    alan adı yenileme ücretleri hakkında bilgi edinin.
    Ayrıca, farklı domain uzantıları ile maliyet karşılaştırması yaparak bütçenize en uygun seçeneği belirleyin. Ücretsiz domain alma yöntemleri de mevcuttur
    ancak sınırlı özellikleri vardır. Domain transferi yapmak isterseniz, işlemin nasıl yapıldığını öğrenin. Alan adı satın alma sürecinde, güvenli
    ödeme yöntemi kullanarak, doğru kişisel/şirket bilgilerini sağlayarak
    ve ilgili yasal belgeleri tamamlayarak işlemi tamamlayın.

    https://sites.google.com/view/ucuz-domain/

  58. Sanal Sunucu says:

    Sanal sunucular, bir fiziksel sunucuda birden fazla sanal özel sunucu oluşturarak birçok avantaj sağlar.
    Bu avantajlar arasında ölçeklenebilirlik,
    güvenlik ve daha yüksek performans yer alır. Sanal sunucu türleri
    arasında paylaşımlı, özel ve bulut sanal sunucular bulunur ve her birinin farklı özellikleri vardır.

    Sanal sunucu kurulumu adım adım kılavuzlarla kolaylaştırılabilir.
    Sanal sunucu ile bulut sunucusu arasındaki farklar dikkate alınarak hangisinin ihtiyaçlarınıza
    daha uygun olduğuna karar verebilirsiniz. Sanal sunucuların güvenliği önemlidir, bu nedenle en iyi
    uygulamaları takip etmek gerekir. Yedekleme ve kurtarma
    işlemleri de önemlidir ve en iyi yöntemler her zaman hazırda bekletilmelidir.
    Performans optimizasyonu, fiyatlandırma ve hizmet karşılaştırmaları da değerlendirilmesi gereken konulardandır.
    Sorun giderme için ise en sık karşılaşılan sorunlar ve çözümleri bilinmelidir.

    https://sites.google.com/view/sanal-sunucu-nedir/

  59. Kiralık Sunucu says:

    Kiralık sunucular, özel bir sunucunun kiralanması yoluyla hizmet veren web barındırma sağlayıcılarıdır.
    Bu yöntem, işletmelerin özel ve yüksek trafikli bir web sitesi
    veya uygulama barındırmalarını ve yönetmelerini sağlar.
    Kiralık sunucuların avantajları arasında daha yüksek performans, özelleştirilebilirlik, daha fazla güvenlik ve daha yüksek erişilebilirlik
    bulunur. En iyi kiralık sunucu hizmetleri arasında Amazon Web
    Services, DigitalOcean ve Bluehost gibi sağlayıcılar yer
    almaktadır. Kiralık sunucu fiyatları, sunucunun özelliklerine ve seçilen sağlayıcının ücretlendirme politikasına göre değişebilir.
    Paylaşımlı hosting ile karşılaştırıldığında, kiralık sunucular daha pahalı olabilir ancak daha yüksek performans ve
    güvenlik sağlar. Kiralık sunucu seçerken, sunucunun boyutu, işletim
    sistemi, veri merkezi konumu ve teknik destek seçenekleri dikkate alınmalıdır.
    Yedekleme ve veri güvenliği, sunucu sağlayıcısı tarafından sağlanan araçlar kullanılarak sağlanabilir.

    Kiralık sunucuların yaygın sorunları arasında güvenlik tehditleri, donanım arızaları ve yüksek maliyetler yer alır.
    Teknik destek seçenekleri, sağlayıcıya ve plana bağlı olarak değişebilir
    ancak genellikle 7/24 erişilebilir olurlar.

    https://sites.google.com/view/kiraliksunucu/

  60. sanal bahis says:

    Sanal bahis, gerçek spor karşılaşmaları yerine bilgisayar simülasyonlarına dayalı olarak
    yapılan bir bahis türüdür. Sanal bahisler, futbol, basketbol, at yarışları gibi farklı spor dallarında sunulur.

    Sanal bahisler, canlı bahis sitelerinin bir parçası olarak sunulur ve herhangi bir saatte bahis yapma imkanı verir.
    Spor karşılaşmalarına göre daha sık sonuçlandığı için sonuçların anında açıklanması da avantajdır.

    Sanal bahislerde belirli stratejiler kullanarak kazanç şansı artırılabilir.
    Ancak, tamamen şansa dayalı olduğundan risk faktörü de yüksektir.

    Sonuç olarak, sanal bahisler geleneksel bahislerden farklı bir seçenek sunar.

    Kullanıcılar, keyifli bir bahis deneyimi yaşayabilirler ancak kaybetme riskinin olduğunu unutmamalıdırlar.

    https://sites.google.com/view/sanal-bahis/

  61. nuhta muhtas says:

    Thanks for any other excellent article. Where else may anyone get
    that type of information in such a perfect
    way of writing? I’ve a presentation subsequent week, and I
    am at the search for such info.
    nuhta muhtas

  62. mobil bahis siteleri says:

    Mobil bahis siteleri, akıllı telefon ve tablet gibi mobil cihazlar
    üzerinden farklı spor dallarında bahis yapabilme imkanı
    sunan sitelerdir. Mobil bahis sitelerindeki işlemler masaüstü sürüme benzer şekilde gerçekleştirilir.

    Mobil bahis siteleri, kullanıcılara kolay erişim sağlar ve herhangi
    bir yerde bahis yapma imkanı verir. Canlı bahis seçeneği de mobil bahis sitelerinde sıkça kullanılan bir seçenektir.

    Kullanıcılar, mobil bahis sitelerinde yüksek oranlar ve çeşitli bahis seçenekleriyle karşılaşırlar.
    Ayrıca, bonuslar ve promosyonlar da mobil bahis sitelerinin sunduğu
    avantajlardandır.

    Güvenli mobil bahis siteleri tercih edilmeli ve doğru stratejiler belirlenerek kaybetme
    riski minimize edilmelidir.

    https://sites.google.com/view/mobil-bahis-sitesi/

  63. bahis siteleri güncel says:

    Bahis siteleri, teknolojinin ilerlemesiyle birlikte hızla büyümekte ve gelişmektedir.

    Kullanıcıların ihtiyaçlarına daha iyi cevap verebilmek için bahis siteleri
    de sürekli olarak yenilikler yapmaktadır. Bu yeniliklerden bazıları, mobil uyumlu tasarımlar, hızlı para transferleri
    ve canlı bahis seçenekleri gibi özelliklerdir.

    Ayrıca, bahis siteleri müşterilerine daha fazla güvenlik sağlamak için de çalışmalarını
    sürdürmektedirler. Güvenli ödeme yöntemleri, SSL sertifikaları ve 2FA (iki faktörlü doğrulama)
    gibi yöntemler, kullanıcıların verilerinin korunmasına yardımcı
    olur.

    Bahis sitelerindeki spor bahisleri dışında casino oyunları da sunulmaktadır.
    Online slotlar, rulet, blackjack ve poker gibi popüler casino oyunları, bahis sitelerinde de yer almaktadır.

    Sonuç olarak, bahis siteleri her geçen gün daha da ileriye gitmektedir ve kullanıcıların ihtiyaçlarına cevap vermek için çalışmalarını sürdürmektedirler.

    https://sites.google.com/view/bahis-siteleri-guncel-2023/

  64. papara bahis siteleri says:

    Papara, son yıllarda Türkiye’deki bahis
    siteleri arasında popüler bir ödeme yöntemi haline gelmiştir.

    Papara, kullanıcılara hızlı ve güvenli para transferleri yapma imkanı sunar.

    Bu nedenle, birçok bahis sitesi Papara’yı ödeme yöntemleri arasına eklemiştir.

    Papara ile para yatırmanın yanı sıra, para çekme işlemleri de oldukça
    kolaydır. Kullanıcılar, kazandıkları paraları
    Papara hesaplarına aktararak daha sonra banka hesaplarına veya ATM’lerden çekebilirler.

    Bahis siteleri, Papara’yı ödeme yöntemleri arasına ekledikleri için kullanıcılara özel bonuslar da sunmaktadırlar.

    Papara ile para yatıran kullanıcılar daha yüksek bonus oranlarından faydalanabilirler.

    Sonuç olarak, Papara’nın güvenilirliği ve hızlı işlem yapabilme özelliği, bahis siteleri tarafından tercih edilen bir ödeme
    yöntemi haline gelmiştir.

    https://sites.google.com/view/papara-bahis-siteleri-2023/

  65. bahis oranları says:

    Bahis oranları, bir spor karşılaşmasına veya casino oyununa yapılan bahsin kazanç miktarını belirleyen faktördür.
    Bahis oranları, kullanıcılara ne kadar kazanacaklarını
    gösterir ve oranlar genellikle bahis siteleri tarafından belirlenir.

    Bahis oranları, bahis sitelerinde değişkenlik gösterir ve
    yüksek oranlar, daha fazla kazanç anlamına gelir. Kullanıcılar, oranların yanı sıra doğru stratejiler belirleyerek kazanç şansını artırabilirler.

    Ancak, yüksek oranlar her zaman kazanç anlamına gelmez ve bahis
    siteleri de riskleri göz önünde bulundurarak oranları belirlerler.
    Bu nedenle, kullanıcıların dikkatli bir şekilde bahis oynamaları ve kaybetme
    riskini minimize etmeleri önemlidir.

    https://sites.google.com/view/bahis-oranlari/

  66. child porn says:

    Everything is very open with a clear clarification of the issues.

    It was really informative. Your site is useful.
    Thank you for sharing!

  67. ilk üyelik bonusu says:

    İlk üyelik bonusu, bahis sitelerinde yeni kayıt olan kullanıcılara sunulan bir
    teşvik programıdır. İlk üyelik bonusu, genellikle
    para yatırma işlemi sonrasında verilir ve kullanıcıların bahis yapmaya başlamalarına yardımcı olur.

    İlk üyelik bonusları, bahis sitelerinin sunduğu avantajlardandır ve yüksek
    tutarlar şeklinde olabilirler. Bonuslar, kullanıcıların kazanç şansını artırarak
    daha fazla bahis yapmalarına imkan tanır.

    Ancak, her bonusun belli şartları vardır ve bu şartlar
    yerine getirilmediği takdirde bonus kullanılamaz hale gelebilir.
    Bu nedenle, kullanıcıların bonusların şartlarını dikkatli bir şekilde okumaları ve doğru stratejiler belirleyerek kaybetme riskini
    minimize etmeleri önemlidir.

    https://sites.google.com/view/guncel-liste-ilk-uyelik-bonusu/

  68. en çok kazandıran casino siteleri says:

    Casino sitelerindeki oyunlar, şans faktörüne
    dayalı olduğu için kazanma oranı her zaman aynı
    olmaz. Ancak, bazı casino siteleri daha yüksek
    kazanç fırsatları sunabilirler. Bu sitelerde, RTP (Return To Player) yüzdesi yüksek olan oyunlar yer alır.
    RTP yüzdesi ne kadar yüksekse, kazanma şansı da o kadar
    artar.

    En çok kazandıran casino siteleri de bu özelliklere sahip sitelerdir.

    Bu siteler, lisanslı ve güvenilir oldukları
    için kullanıcıların tercih ettiği sitelerdir. Ayrıca, bonus
    fırsatlarıyla da kazanç şansını arttırırlar.

    Sonuç olarak, en çok kazandıran casino siteleri, RTP yüzdesi yüksek olan oyunlar ve bonus fırsatlarıyla kullanıcılara daha fazla kazanç sağlama imkanı sunarlar.

    Ancak, kazanmak tamamen şansa bağlıdır ve kaybetme riski
    de her zaman bulunur.

    https://sites.google.com/view/en-cok-kazandiran-casino-site/

  69. free spin veren siteler says:

    Free spin, casino sitelerinde sıkça kullanılan bir bonus türüdür.
    Bu bonus, slot oyunlarında ücretsiz dönüş hakkı sağlar.
    Free spin veren siteler, yeni kullanıcılarına veya mevcut kullanıcılarına bu bonusu sunarak onların kazanç şansını
    arttırır.

    Bazı siteler, free spinleri belirli bir slot oyununda kullanmanızı isteyebilirken, bazıları ise
    istediğiniz herhangi bir slot oyununda free
    spin kullanmanıza izin verebilirler. Free spinler genellikle bir çevrim şartına tabidir ve belirli bir miktar
    para yatırdıktan sonra kullanılabilirler.

    Free spin veren siteler, oyun tutkunları tarafından yoğun ilgi görürler ve bu sayede
    daha fazla kullanıcıya ulaşırlar.

    Sonuç olarak, free spin veren siteler, kullanıcılara bonus fırsatları sunarak kazanç şanslarını arttırırlar.
    Ancak, bonusların kurallarını dikkatlice okumanız ve
    çevrim şartlarını yerine getirmeniz gerektiğini unutmamalısınız.

    https://sites.google.com/view/free-spin-veren-siteler/

  70. egt slot oyunları says:

    EGT (Euro Games Technology), casino sektöründe faaliyet gösteren bir oyun sağlayıcı firmadır.
    EGT slot oyunları, en popüler ve sevilen oyunlar arasında yer almaktadır.
    Bu oyunların grafikleri ve ses efektleri oldukça kalitelidir.

    EGT slot oyunları, farklı temalarda ve çeşitli özelliklerle donatılmıştır.

    Bazı oyunlarda, bonus turu, ücretsiz dönüşler ve jackpot gibi
    özellikler bulunur. Ayrıca, EGT slot oyunları mobil cihazlarda da
    oynanabilir.

    EGT’nin en popüler slot oyunları arasında 40 Super Hot,
    Burning Hot, Flaming Hot ve Egypt Sky gibi oyunlar yer alır.
    Bu oyunlar, casino severler tarafından sıkça tercih edilir ve yüksek kazanç fırsatları sunarlar.

    Sonuç olarak, EGT slot oyunları, kaliteli grafikleri ve çeşitli
    özellikleriyle kullanıcıların ilgisini çeker. Farklı temalarda ve yüksek kazanç fırsatları veren oyunlarla doludur.

    https://sites.google.com/view/egt-slot-oyunlari/

  71. hoşgeldin bonusu says:

    Hoşgeldin bonusu, bahis sitelerinde yeni kayıt olan kullanıcılara
    özel olarak sunulan bir teşvik programıdır.
    Hoşgeldin bonusları, genellikle para yatırma işlemi sonrasında verilir ve kullanıcıların bahis yapmaya başlamalarına yardımcı
    olur.

    Hoşgeldin bonusları, bahis sitelerinin sunduğu avantajlardandır ve yüksek tutarlar şeklinde olabilirler.

    Bonuslar, kullanıcıların kazanç şansını artırarak daha fazla bahis yapmalarına imkan tanır.

    Ancak, her bonusun belli şartları vardır
    ve bu şartlar yerine getirilmediği takdirde bonus kullanılamaz hale gelebilir.
    Bu nedenle, kullanıcıların bonusların şartlarını dikkatli bir şekilde okumaları ve doğru stratejiler belirleyerek kaybetme riskini minimize etmeleri önemlidir.

    https://sites.google.com/view/hosgeldin-bonusu-veren-site/

  72. mobil ödeme kabul eden bahis says:

    Mobil ödeme, bahis sitelerinde popüler bir ödeme yöntemi haline gelmiştir.

    Bu nedenle, birçok bahis sitesi mobil ödeme kabul etmektedir.
    Mobil ödemeyle yapılan işlemler hızlı ve güvenlidir, kullanıcıların hesaplarına
    anında yansır.

    Mobil ödeme kabul eden bahis siteleri, farklı
    mobil ödeme uygulamaları aracılığıyla para yatırma imkanı
    sunarlar. Türkiye’de en yaygın olarak kullanılan mobil ödeme uygulamaları Turkcell, Vodafone ve
    Türk Telekom’un kendi uygulamalarıdır. Ayrıca, Papara, Paycell ve Jeton Wallet gibi sanal cüzdanlar da mobil ödeme kabul
    eden bahis siteleri arasındadır.

    Mobil ödemeyle bahis yapmak, kullanıcılar için daha kolay ve hızlı bir seçenektir.
    Bu nedenle, mobil ödeme kabul eden bahis siteleri, kullanıcıların tercih ettiği sitelerdir.

    https://sites.google.com/view/mobil-odeme-kabul-eden-siteler/

  73. ilk yatırım bonusları says:

    İlk yatırım bonusları, bahis sitelerinde yeni kayıt
    olan kullanıcılara özel olarak sunulan bir teşvik programıdır.
    İlk yatırım bonusları, genellikle ilk para yatırma işlemi sonrasında verilir ve kullanıcıların bahis yapmaya başlamalarına yardımcı olur.

    İlk yatırım bonusları, bahis sitelerinin sunduğu avantajlardandır ve yüksek tutarlar
    şeklinde olabilirler. Bonuslar, kullanıcıların kazanç şansını artırarak daha fazla bahis
    yapmalarına imkan tanır.

    Ancak, her bonusun belli şartları vardır ve bu
    şartlar yerine getirilmediği takdirde bonus kullanılamaz hale
    gelebilir. Bu nedenle, kullanıcıların bonusların şartlarını
    dikkatli bir şekilde okumaları ve doğru stratejiler belirleyerek kaybetme riskini minimize etmeleri önemlidir.

    https://sites.google.com/view/ilk-yatirim-bonuslari//a>

  74. hotel porn says:

    This is very interesting, You are a very skilled blogger.
    I have joined your feed and look forward to seeking more of your fantastic post.
    Also, I’ve shared your web site in my social networks!

    hotel porn

  75. ilk yatırım bonusu veren siteler says:

    İlk yatırım bonusu, bahis siteleri tarafından yeni kullanıcılara sunulan bir tür hoş geldin bonusudur.
    Bu bonus, ilk kez para yatıran kullanıcılara verilir ve yatırılan tutarın belli bir yüzdesi kadar ekstra bonus verilir.

    İlk yatırım bonusu veren siteler, kullanıcılara daha fazla kazanç şansı
    sağlarlar. Bonus oranları, siteye ve kampanyaya göre değişebilir.
    Bazı siteler, %100’e kadar yatırım bonusu sunarken, bazıları ise
    %50 veya daha düşük oranlarda bonuslar verebilirler.

    Ancak, bonusların çekilebilmesi için belirli bir çevrim şartı olabilir.
    Bu şartlar, her site için farklılık gösterir. Kullanıcıların bonus kurallarını dikkatlice
    okumaları gerekmektedir.

    Sonuç olarak, ilk yatırım bonusu veren siteler, yeni kullanıcılara hoş geldin bonusu sunarak daha fazla kazanç elde etme imkanı sağlar.
    Ancak, bonusların çevrim şartlarına dikkat edilmesi önemlidir.

    https://sites.google.com/view/ilk-yatrm-bonusu-veren-siteler/

  76. 50 tl deneme bonusu says:

    50 TL deneme bonusu, bahis siteleri tarafından yeni kullanıcılara sunulan bir tür
    hoş geldin bonusudur. Bu bonus, üyelik işlemlerini tamamlayan ve
    hesabına ilk kez para yatırmadan önce siteyi denemek isteyen kullanıcılara verilir.

    Deneme bonusu, kullanıcıların bahis sitesindeki oyunları denemelerine ve kazanç elde
    etme şansını arttırmalarına yardımcı olur.
    Bonusun çevrim şartları ve kullanım alanları,
    her site için farklılık gösterir. Bazı siteler, deneme bonusunu sadece belirli oyunlarda kullanmanızı isterken,
    bazıları ise farklı seçenekler sunarlar.

    50 TL deneme bonusu, kullanıcılara bahis sitesini tanıma fırsatı sunar
    ve daha fazla kazanç şansı verir. Ancak, bonus kurallarının dikkatlice
    okunması ve çevrim şartlarının yerine getirilmesi gerekmektedir.

    Sonuç olarak, 50 TL deneme bonusu, bahis sitesi seçiminde önemli bir faktördür.
    Kullanıcıların siteyi deneyerek kazanç elde etme şansını arttırmalarını sağlar.

    https://sites.google.com/view/50-tl-deneme-bonusu-verenler/

  77. kayıp bonusları says:

    Kayıp bonusları, bahis sitelerinde veya casino sitelerinde kullanıcılara verilen bir teşvik programıdır.

    Bu bonus türü, belirli bir dönemde kullanıcıların kaybettiği miktarın bir kısmının geri ödenmesini sağlar.

    Kayıp bonusları, kullanıcıların kayıplarını minimize etmelerine yardımcı olur ve
    kazanç şansını artırarak daha fazla bahis yapmalarına
    imkan tanır. Bonuslar, bahis veya casino sitelerinin sunduğu avantajlardandır ve yüksek tutarlar şeklinde olabilirler.

    Ancak, her bonusun belli şartları vardır ve bu şartlar yerine getirilmediği takdirde bonus kullanılamaz
    hale gelebilir. Kullanıcıların, bonusların şartlarını
    dikkatli bir şekilde okumaları ve doğru stratejiler belirleyerek kaybetme riskini minimize etmeleri önemlidir.

    https://sites.google.com/view/kayip-bonuslari/

  78. çevrim şartsız bonuslar says:

    Çevrim şartsız bonuslar, bahis ve casino sitelerinde kullanıcılara
    sunulan bir teşvik programıdır. Bu bonus türü, kullanıcıların belirli bir
    işlem yapmadan direkt olarak hesaplarına yatırılan bir
    tutardır.

    Çevrim şartsız bonuslar, kullanıcıların kazanç elde etmelerine
    ve daha fazla bahis veya casino oyunu oynamalarına imkan tanır.
    Bonuslar, bahis veya casino sitelerinin sunduğu avantajlardandır ve çeşitli miktarlar şeklinde olabilirler.

    En büyük avantajlarından biri ise çevrim şartının bulunmamasıdır.
    Kullanıcılar, doğrudan bonus tutarını kullanarak bahis yapabilir veya casino
    oyunları oynayabilirler.

    Ancak, her bonusun belli şartları vardır ve bu şartlar yerine getirilmediği takdirde bonus kullanılamaz hale gelebilir.
    Ayrıca, çevrim şartsız bonusların sınırlı sayıda verildiği de unutulmamalıdır.

    https://sites.google.com/view/cevrim-sartsiz-bonuslar/

  79. bahis says:

    Bahis, bir oyun veya spor karşılaşması üzerine yapılan para yatırma işlemidir.
    Bahis siteleri aracılığıyla, kullanıcılar farklı spor dallarına bahis yapabilirler.
    Popüler spor dalları arasında futbol, basketbol, tenis,
    voleybol ve at yarışları yer alır.

    Bahis siteleri, kullanıcılara yüksek oranlar ve çeşitli bahis seçenekleri sunarlar.
    Canlı bahis seçeneği de bahis sitelerinde sıkça kullanılan bir seçenektir.
    Bu seçenekle, kullanıcılar maçın devam ettiği sürece bahis
    yapabilirler.

    Bahis yapmak, şans faktörüne dayalıdır ve kaybetme riski her zaman bulunur.
    Ancak, doğru stratejiler ve analizler yaparak kazanma şansı arttırılabilir.

    Sonuç olarak, bahis siteleri, kullanıcılara farklı
    spor dallarına bahis yapabilme imkanı sunarlar.
    Yüksek oranlar ve canlı bahis seçeneğiyle, bahis yapmak daha heyecanlı hale gelir.
    Ancak, bahis yaparken dikkatli olunması ve kaybetme riskinin olduğunu unutmamak gerekmektedir.

    https://sites.google.com/view/bahiss/

  80. free spin bonusları says:

    Free spin bonusları, casino sitelerinde kullanıcılara sunulan bir teşvik programıdır.
    Bu bonus türü, slot oyunlarında belirli sayıda ücretsiz dönüş imkanı
    verir.

    Free spin bonusları, casino sitelerinin sunduğu
    avantajlardandır ve yüksek sayıda free spinler şeklinde olabilirler.
    Bonuslar, kullanıcıların kazanç şansını artırarak daha fazla casino oyunu oynamalarına imkan tanır.

    Ancak, her bonusun belli şartları vardır ve bu şartlar yerine
    getirilmediği takdirde bonus kullanılamaz hale gelebilir.
    Bu nedenle, kullanıcıların bonusların şartlarını dikkatli bir şekilde okumaları ve
    doğru stratejiler belirleyerek kaybetme riskini minimize etmeleri önemlidir.
    Ayrıca, free spin bonuslarının hangi slot oyunlarında
    geçerli olduğuna da dikkat edilmelidir.

    https://sites.google.com/view/free-spin-bonuslari/

  81. canlı bahis siteleri says:

    Canlı bahis, spor karşılaşmalarının devam ettiği
    sırada yapılan bahis türüdür. Canlı bahis siteleri, kullanıcılara
    anlık olarak oranlar sunar ve maçın herhangi
    bir anında bahis yapabilme imkanı verir.

    Canlı bahis siteleri, farklı spor dallarında müsabakalar
    için canlı bahis seçeneği sunarlar. Futbol, basketbol, tenis,
    voleybol ve at yarışları gibi popüler spor dalları üzerine canlı bahis yapmak mümkündür.

    Kullanıcılar, canlı bahis sitelerinde yüksek oranlar ve çeşitli bahis seçenekleriyle karşılaşırlar.
    Ayrıca, canlı bahisler bonuslarla desteklenir ve kazanç şansı arttırılır.

    Ancak, canlı bahis yaparken dikkatli olunması gerekmektedir.

    Maçın durumunu takip etmek ve doğru stratejiler belirlemek önemlidir.

    Sonuç olarak, canlı bahis siteleri, kullanıcılara anlık oranlar sunarak heyecan dolu bir bahis deneyimi yaşatırlar.
    Yüksek oranlar, çeşitli bahis seçenekleri ve
    bonuslar, kullanıcıların tercih ettiği siteler arasında yer alır.

    https://sites.google.com/view/canli-bahis-siteler/

  82. yatırım bonusları says:

    Yatırım bonusları, bahis ve casino sitelerinde kullanıcılara sunulan bir teşvik programıdır.
    Bu bonus türü, kullanıcıların hesaplarına
    para yatırmaları durumunda belirli bir oranda bonus kazanmalarını
    sağlar.

    Yatırım bonusları, kullanıcıların daha fazla bahis yapmalarına ve kazanç şansını artırmalarına imkan tanır.
    Bonuslar, bahis veya casino sitelerinin sunduğu
    avantajlardandır ve yüksek tutarlar şeklinde olabilirler.

    Ancak, her bonusun belli şartları vardır ve
    bu şartlar yerine getirilmediği takdirde bonus kullanılamaz hale gelebilir.
    Örneğin, bonusun belirli bir sayıda bahis yapılması
    veya belirli bir miktarda para yatırılması gibi şartları bulunabilir.

    Kullanıcıların, bonusların şartlarını dikkatli bir şekilde okumaları ve doğru stratejiler belirleyerek kaybetme riskini minimize etmeleri önemlidir.

    https://sites.google.com/view/yatirim-bonuslari/

  83. bahis siteleri says:

    Bahis siteleri, kullanıcılara farklı spor dallarında bahis yapabilme imkanı sunan internet siteleridir.

    Futbol, basketbol, tenis, voleybol, at yarışları gibi
    birçok spor dalı üzerine bahis yapmak mümkündür.
    Bahis siteleri, yüksek oranlar ve çeşitli bahis
    seçenekleriyle kullanıcılara heyecan dolu bir bahis deneyimi sunarlar.
    Ayrıca, bonuslar ve promosyonlar da bahis sitelerinin sunduğu avantajlardır.
    Ancak, bahis sitelerindeki işlemlerin güvenliği ve lisanslı olup
    olmadığına dikkat edilmelidir. Kullanıcıların doğru stratejiler belirleyerek kaybetme riskini de göz önünde
    bulundurması gerekmektedir.

    https://sites.google.com/view/bahis-siteleri-2023/

  84. Tef says:

    Laten we nu eens kijken naar het belangrijkste onderdeel van online gokken waar het Nederlandse gokken met succes is gegroeid. Zoals we kunnen zien, stappen veel online casinospelers na de legalisering van gokken op afstand over naar platforms met een vergunning. Maar het aantal spelers bleef hetzelfde, zelfs na de reclame voor de kansspeldiensten. Met de komst van internet ontstond tegelijk de mogelijkheid om software te ontwikkelen die je in staat stelde om casinospellen op je computer te spelen. In 1996 opende Inter Online Casino haar deuren en het eerste virtuele casino was een feit. Al snel volgde er meer en werd de kwaliteit van zowel het internet als de spellen beter en hoogwaardiger. Enkele vaardige internetpioniers maakten handig van de gelegenheid gebruik om een Hollands casino op internet te ontwikkelen. Na enige jaren ontwikkelen was het in 2004 tijd om de deuren van Oranje Casino Online te openen. Het zou uitgroeien tot het grootste casino van Nederland.
    https://andersonttpn295295.blog5.net/59774956/uitbetaling-holland-casino-online
    In sommige gevallen kan de inzet zo hoog zijn dat het heel moeilijk wordt om eraan te voldoen in de korte tijd die je hebt. Maar de meeste 1 deposit casino’s hebben zeer redelijke inzetvereisten die in een mum van tijd vervuld kunnen worden. Voordat je een bonus accepteert, is het altijd een goed idee om de algemene voorwaarden te lezen, want dan weet je precies welke voorwaarden er aan jouw casinobonus verbonden zijn en dat betekent dat je onaangename verrassingen van tevoren kunt vermijden. Controleer altijd hoe lang je hebt om je bonus te gebruiken! Hoe leuk het ook is om een kleine storting te mogen doen, de spanning verhoogt wanneer de spellen beginnen! De meeste gokgelegenheden beschikken vanaf 1 oktober 2021 over een gigantisch spelassortiment aan online gokkasten. Op een gokkast zijn prijzen te winnen door op de spinknop te drukken en combinaties te creëren met de symbolen. Een draai aan een gokkast kost normaal gesproken geld, maar niet wanneer een speler gebruikmaakt van de free spins bonus. Een casinospeler kan enkele honderden free spins toegekend krijgen op geselecteerde online gokkasten, maar soms mag hij of zij ook zelf een keuze maken uit het spelaanbod. Alle prijzen die met de free spins bonus gewonnen worden, worden bijgeschreven op het speelaccount. Echter moet de winst uit de free spins bonus daarna nog wel worden rondgespeeld.

  85. illegal bahis siteleri says:

    Illegal bahis siteleri, yasal olmayan bir şekilde faaliyet gösteren bahis siteleridir.

    Bu siteler, yasal bahis sitelerinin sunduğu hizmetleri sunarlar ancak yasalara uygun değillerdir.
    Illegal bahis siteleri çoğunlukla yurt dışı merkezli olarak faaliyet
    gösterirler ve lisanssızdırlar.

    Illegal bahis siteleri, yüksek oranlar ve çeşitli bahis seçenekleriyle kullanıcılara cazip fırsatlar sunarlar.
    Ancak, bu sitelerin güvenlikleri garanti edilemez ve kullanıcıların kişisel
    bilgileri risk altında olabilir.

    Ayrıca, illegal bahis sitelerindeki işlemler yasal olmadığı için kullanıcıların hakları da koruma altına alınamaz.
    Bu nedenle, kullanıcıların yasal bahis sitelerini tercih etmeleri daha uygun olacaktır.

    https://sites.google.com/view/illegal-bahis-site/

  86. yasal bahis siteleri says:

    Yasal bahis siteleri, yasalara uygun bir şekilde faaliyet
    gösteren ve lisanslı olan bahis siteleridir.
    Yasal bahis sitelerindeki işlemler güvenli bir şekilde gerçekleştirilir ve kullanıcıların kişisel
    bilgileri korunur.

    Yasal bahis siteleri, farklı spor dallarında bahis yapabilme
    imkanı sunarlar. Futbol, basketbol, tenis, voleybol ve at yarışları gibi popüler spor
    dalları üzerine bahis yapmak mümkündür.
    Ayrıca, yüksek oranlar, bonuslar ve promosyonlar da yasal bahis sitelerinin avantajları arasındadır.

    Kullanıcılar, yasal bahis sitelerinde kaybettikleri takdirde haklarını
    savunabilirler ve yasal mercilere başvurabilirler.
    Bu nedenle, yasal bahis siteleri tercih edilerek güvenli bir bahis deneyimi yaşanabilir.

    https://sites.google.com/view/yasal-bahis-siteleri/

  87. arkadaş bonusları says:

    Arkadaş bonusları, bahis ve casino sitelerinde kullanıcılara sunulan bir teşvik programıdır.
    Bu bonus türü, belirli bir bahis veya casino oyunu sitesine yeni üye
    olan arkadaşların davet edilmesiyle kazanılır.

    Arkadaş bonusları, kullanıcıların arkadaşlarını siteye
    davet ederek hem kendi kazançlarını artırmasına hem de arkadaşlarının kazanç
    elde etmelerine yardımcı olur. Bonuslar, bahis veya casino sitelerinin sunduğu avantajlardandır ve
    genellikle belirli bir tutar şeklinde verilirler.

    Ancak, her bonusun belli şartları vardır ve bu şartlar yerine getirilmediği takdirde bonus kullanılamaz hale gelebilir.
    Örneğin, arkadaşların belli sayıda bahis yapması gibi şartlar olabilir.
    Kullanıcıların, bonusların şartlarını dikkatli bir şekilde
    okumaları ve doğru stratejiler belirleyerek kaybetme riskini minimize etmeleri önemlidir.

    https://sites.google.com/view/arkadas-bonuslari/

  88. Jasonjoype says:

    娛樂城
    娛樂城
    福佑娛樂城致力於在網絡遊戲行業推廣負責任的賭博行為和打擊成癮行為。 本文探討了福友如何通過關注合理費率、自律、玩家教育和安全措施來實現這一目標。

    理性利率和自律:
    福佑娛樂城鼓勵玩家將在線賭博視為一種娛樂活動,而不是一種收入來源。 通過提倡合理的費率和設置投注金額限制,福佑確保玩家參與受控賭博,降低財務風險並防止成癮。 強調自律可以營造一個健康的環境,在這個環境中,賭博仍然令人愉快,而不會成為一種有害的習慣。

    關於風險和預防的球員教育:
    福佑娛樂城非常重視對玩家進行賭博相關風險的教育。 通過提供詳細的說明和指南,福佑使個人能夠做出明智的決定。 這些知識使玩家能夠了解他們行為的潛在後果,促進負責任的行為並最大限度地減少上癮的可能性。

    安全措施:
    福佑娛樂城通過實施先進的技術解決方案,將玩家安全放在首位。 憑藉強大的反洗錢系統,福友確保安全公平的博彩環境。 這可以保護玩家免受詐騙和欺詐活動的侵害,建立信任並促進負責任的賭博行為。

    結論:
    福佑娛樂城致力於培養負責任的賭博行為和打擊成癮行為。 通過提倡合理的費率、自律、玩家教育和安全措施的實施,富友提供安全、愉快的博彩體驗。 通過履行社會責任,福佑娛樂城為其他在線賭場樹立了積極的榜樣,將玩家的福祉放在首位,營造負責任的博彩環境。

  89. astropay bonusu says:

    Astropay bonusu, bahis ve casino sitelerinde kullanıcılara sunulan bir teşvik programıdır.
    Astropay, online ödeme yöntemleri arasında yer alan bir sistemdir ve bu yöntemi kullanan kullanıcılar belirli oranda bonus kazanabilirler.

    Astropay bonusları, kullanıcıların Astropay ile para yatırmalarını teşvik etmek için sunulur.
    Bonuslar, bahis veya casino sitelerinin sunduğu avantajlardandır ve genellikle yüzdelik oran şeklinde verilirler.

    Ancak, her bonusun belli şartları vardır ve bu şartlar yerine getirilmediği takdirde bonus
    kullanılamaz hale gelebilir. Örneğin, Astropay ile belirli bir tutarda para yatırma gibi şartlar olabilir.

    Kullanıcıların, bonusların şartlarını
    dikkatli bir şekilde okumaları ve doğru stratejiler belirleyerek kaybetme riskini minimize etmeleri
    önemlidir.

    https://sites.google.com/view/astropay-bonusu/

  90. online bahis siteleri says:

    Online bahis siteleri, internet üzerinden farklı spor dallarında bahis yapabilme imkanı sunan sitelerdir.
    Futbol, basketbol, tenis, voleybol, at yarışları gibi birçok spor dalı üzerine bahis yapmak mümkündür.

    Online bahis siteleri, kullanıcılara yüksek oranlar ve
    çeşitli bahis seçenekleri sunarlar.

    Canlı bahis seçeneği de online bahis sitelerinde sıkça kullanılan bir seçenektir.
    Bu seçenekle, kullanıcılar maçın devam ettiği sürece bahis yapabilirler.
    Ayrıca, online bahis siteleri bonuslar ve promosyonlarla da kullanıcılara
    avantajlar sağlarlar.

    Online bahis sitelerindeki işlemler güvenli bir şekilde gerçekleştirilir ve lisanslı siteler tercih edilmelidir.

    Ancak, kullanıcıların doğru stratejiler belirleyerek kaybetme riskini minimize etmeleri
    önemlidir.

    https://sites.google.com/view/online-bahis-sitelerin/

  91. aviator bonusları says:

    Aviator bonusları, casino sitelerinde kullanıcılara sunulan bir teşvik
    programıdır. Aviator, bir tür slot oyunudur ve bu oyunda
    belirli bir seviyeye ulaşan kullanıcılar bonus kazanabilirler.

    Aviator bonusları, kullanıcıların Aviator oyununu oynamalarını
    teşvik etmek için sunulur. Bonuslar, bahis
    veya casino sitelerinin sunduğu avantajlardandır ve genellikle yüzdelik oran şeklinde verilirler.

    Ancak, her bonusun belli şartları vardır ve
    bu şartlar yerine getirilmediği takdirde bonus kullanılamaz hale gelebilir.

    Örneğin, belirli bir süre içerisinde belirli sayıda oyun oynama
    gibi şartlar olabilir. Kullanıcıların, bonusların şartlarını dikkatli bir şekilde okumaları ve doğru stratejiler belirleyerek kaybetme riskini minimize etmeleri
    önemlidir.

    https://sites.google.com/view/aviator-bonuslari/

  92. Jasonjoype says:

    娛樂城
    福佑娛樂城致力於在網絡遊戲行業推廣負責任的賭博行為和打擊成癮行為。 本文探討了福友如何通過關注合理費率、自律、玩家教育和安全措施來實現這一目標。

    理性利率和自律:
    福佑娛樂城鼓勵玩家將在線賭博視為一種娛樂活動,而不是一種收入來源。 通過提倡合理的費率和設置投注金額限制,福佑確保玩家參與受控賭博,降低財務風險並防止成癮。 強調自律可以營造一個健康的環境,在這個環境中,賭博仍然令人愉快,而不會成為一種有害的習慣。

    關於風險和預防的球員教育:
    福佑娛樂城非常重視對玩家進行賭博相關風險的教育。 通過提供詳細的說明和指南,福佑使個人能夠做出明智的決定。 這些知識使玩家能夠了解他們行為的潛在後果,促進負責任的行為並最大限度地減少上癮的可能性。

    安全措施:
    福佑娛樂城通過實施先進的技術解決方案,將玩家安全放在首位。 憑藉強大的反洗錢系統,福友確保安全公平的博彩環境。 這可以保護玩家免受詐騙和欺詐活動的侵害,建立信任並促進負責任的賭博行為。

    結論:
    福佑娛樂城致力於培養負責任的賭博行為和打擊成癮行為。 通過提倡合理的費率、自律、玩家教育和安全措施的實施,富友提供安全、愉快的博彩體驗。 通過履行社會責任,福佑娛樂城為其他在線賭場樹立了積極的榜樣,將玩家的福祉放在首位,營造負責任的博彩環境。

  93. casino siteleri says:

    Casino siteleri, internet üzerinden farklı casino oyunlarını oynama imkanı
    sunan sitelerdir. Slot oyunları, blackjack, rulet, baccarat gibi birçok casino oyunu casino sitelerinde yer alır.
    Casino siteleri, kullanıcılara gerçek casino deneyimini
    evlerine getirirler.

    Casino siteleri, yüksek oranlar ve çeşitli oyun seçenekleriyle
    kullanıcılara avantajlar sunarlar. Ayrıca, bonuslar ve promosyonlar da casino sitelerinin sunduğu
    avantajlardandır.

    Ancak, casino oyunları şans faktörüne dayalıdır ve kaybetme riski her
    zaman bulunur. Bu nedenle, kullanıcıların doğru stratejiler belirleyerek
    kaybetme riskini minimize etmeleri önemlidir.
    Güvenilir casino siteleri tercih edilmeli ve lisanslı olup olmadığına
    dikkat edilmelidir.

    https://sites.google.com/view/casino-sitesi/

  94. canlı casino bonusları says:

    Canlı casino bonusları, casino sitelerinde kullanıcılara sunulan bir teşvik programıdır.
    Bu bonus türü, canlı casino oyunlarına katılan kullanıcılara verilir.

    Canlı casino bonusları, kullanıcıların canlı casino oyunlarını daha fazla oynamalarına
    ve kazanç şanslarını artırmalarına yardımcı olur.
    Bonuslar, bahis veya casino sitelerinin sunduğu avantajlardandır ve yüksek tutarlar şeklinde olabilirler.

    Ancak, her bonusun belli şartları vardır ve bu şartlar yerine getirilmediği takdirde
    bonus kullanılamaz hale gelebilir. Örneğin, belirli bir sürede belli sayıda canlı
    casino oyunu oynama gibi şartlar olabilir.
    Kullanıcıların, bonusların şartlarını dikkatli bir
    şekilde okumaları ve doğru stratejiler belirleyerek kaybetme riskini minimize etmeleri önemlidir.

    https://sites.google.com/view/canli-casino-bonuslari/

  95. bahis oyna says:

    Bahis oynamak, farklı spor dallarında veya casino oyunlarında para yatırarak kazanç elde etme şansı veren bir eğlence aktivitesidir.
    Bahis siteleri üzerinden kolayca bahis oynanabilir ve yüksek oranlarla
    daha fazla kazanç sağlanabilir.

    Bahis oynarken dikkat edilmesi gereken noktalar vardır.
    Doğru stratejiler belirlenmeli ve kaybetme riski de göz önünde bulundurulmalıdır.
    Ayrıca, bahis sitelerinin lisanslı olup olmadığına ve
    güvenilirliğine dikkat edilmelidir.

    Sonuç olarak, bahis oynamak heyecanlı bir deneyimdir ancak kontrollü bir şekilde
    yapılması önemlidir. Kullanıcılar, doğru seçimler yaparak daha fazla kazanç elde edebilirler.

    https://sites.google.com/view/bahis-oyna-simdi/

  96. discount bonusu says:

    Discount bonusu, bahis ve casino sitelerinde kullanıcılara sunulan bir
    teşvik programıdır. Bu bonus türü, belirli bir dönemde kaybedilen miktarların bir
    kısmının geri ödenmesini sağlar.

    Discount bonusları, kullanıcıların kayıplarını minimize etmelerine yardımcı
    olur ve kazanç şansını artırarak daha fazla bahis yapmalarına
    imkan tanır. Bonuslar, bahis veya casino sitelerinin sunduğu avantajlardandır ve
    yüzdelik oran şeklinde olabilirler.

    Ancak, her bonusun belli şartları vardır
    ve bu şartlar yerine getirilmediği takdirde bonus kullanılamaz hale gelebilir.
    Örneğin, belirli bir miktarda kaybın yaşanması veya belirli bir dönem içerisinde bahis yapılmış olması gibi şartlar
    olabilir.

    Kullanıcıların, bonusların şartlarını dikkatli bir şekilde okumaları ve doğru stratejiler belirleyerek
    kaybetme riskini minimize etmeleri önemlidir.

    https://sites.google.com/view/discount-bonusu/

  97. cepbank bonusları says:

    Cepbank bonusları, bahis ve casino sitelerinde kullanıcılara
    sunulan bir teşvik programıdır. Cepbank, mobil ödeme yöntemleri arasında yer alan bir sistemdir
    ve bu yöntemi kullanan kullanıcılar belirli oranda bonus kazanabilirler.

    Cepbank bonusları, kullanıcıların Cepbank ile para yatırmalarını
    teşvik etmek için sunulur. Bonuslar, bahis veya casino sitelerinin sunduğu avantajlardandır
    ve genellikle yüzdelik oran şeklinde verilirler.

    Ancak, her bonusun belli şartları vardır ve bu şartlar yerine getirilmediği takdirde bonus kullanılamaz
    hale gelebilir. Örneğin, Cepbank ile belirli bir tutarda para yatırma gibi şartlar olabilir.

    Kullanıcıların, bonusların şartlarını dikkatli bir şekilde okumaları ve
    doğru stratejiler belirleyerek kaybetme riskini minimize etmeleri önemlidir.

    https://sites.google.com/view/cepbank-bonuslari/

  98. dogum gunu bonusları says:

    Doğum günü bonusları, bahis ve casino sitelerinde kullanıcılara sunulan bir teşvik programıdır.

    Bu bonus türü, kullanıcının doğum gününde hesaplarına belirli bir tutarda bonus yatırılmasını sağlar.

    Doğum günü bonusları, kullanıcıların doğum günlerini kutlamak ve onları memnun etmek için sunulur.
    Bonuslar, bahis veya casino sitelerinin sunduğu avantajlardandır ve genellikle sabit tutar şeklinde verilirler.

    Ancak, her bonusun belli şartları vardır ve bu şartlar
    yerine getirilmediği takdirde bonus kullanılamaz hale gelebilir.
    Örneğin, bonusun belirli bir süre içerisinde kullanılması gibi şartlar olabilir.

    Kullanıcıların, bonusların şartlarını dikkatli bir şekilde okumaları ve
    doğru stratejiler belirleyerek kaybetme riskini minimize etmeleri
    önemlidir.

    https://sites.google.com/view/dogum-gunu-bonuslari/

  99. freebet bonusu says:

    Freebet bonusu, bahis ve casino sitelerinde kullanıcılara
    sunulan bir teşvik programıdır. Bu bonus türü,
    belirli bir miktar tutarda ücretsiz bahis hakkı sunar.

    Freebet bonusları, kullanıcıların bahis yapma
    deneyimlerini artırmalarına yardımcı olur
    ve kayıplarını minimize etmelerine imkan tanır.
    Bonuslar, bahis veya casino sitelerinin sunduğu avantajlardandır ve genellikle sabit tutar şeklinde verilirler.

    Ancak, her bonusun belli şartları vardır ve bu şartlar yerine getirilmediği takdirde
    bonus kullanılamaz hale gelebilir. Örneğin,
    freebet’in belirli bir spor dalında veya belirli bir etkinlikte kullanılması gibi şartlar olabilir.

    Kullanıcıların, bonusların şartlarını dikkatli bir şekilde
    okumaları ve doğru stratejiler belirleyerek kaybetme riskini minimize etmeleri önemlidir.

    https://sites.google.com/view/freebet-bonusu/

  100. ChatGPTcex says:

    Revolutionizing Conversational AI

    ChatGPT is a groundbreaking conversational AI model that boasts open-domain capability, adaptability, and impressive language fluency. Its training process involves pre-training and fine-tuning, refining its behavior and aligning it with human-like conversational norms. Built on transformer networks, ChatGPT’s architecture enables it to generate coherent and contextually appropriate responses. With diverse applications in customer support, content creation, education, information retrieval, and personal assistants, ChatGPT is transforming the conversational AI landscape.

  101. virgin xxx says:

    Does your website have a contact page? I’m having
    a tough time locating it but, I’d like to send you an e-mail.
    I’ve got some ideas for your blog you might be interested
    in hearing. Either way, great website and I look forward
    to seeing it expand over time.
    virgin xxx

  102. maivy says:

    New multi-line video poker games now available. Video poker has been one of the most popular card games around the world ever since gambling emerged in its digital form, just like poker itself is played everywhere in the physical form. In fact, poker is so big that most people think of this game when someone says “gambling.” We’ll look at how many poker games the website has available. Paying particular attention to the different poker variants, we’ll examine whether the Canadian casino has live tables, virtual tables, or video poker. We award bonus points to casinos with different game types, such as Hold’em or Five-card draw.  Live casinos are the big new thing in online casino gaming in 2023. Internet gamblers will enjoy the on-screen, via a webcam, living, breathing, real dealer sitting in a live casino dealing real cards for Blackjack, or spinning a real wheel in a game of roulette. Live casinos are fun, it’s fast, it’s just like at real money casinos. However, best of all, you don’t have to leave the comfort of your room. You can play in real money and even chat to the real dealer (croupier).
    https://apw24.iesmarquesdecomares.org/wordpress/index.php/community/profile/deniceroush990/
    Open a new account with PokerStars and you can choose between two welcome bonuses. Either elect to Play 1 hand and get $100 in bonus play. Or use PokerStars bonus code STARS600 and get a $600 deposit match welcome bonus. Open a new account with PokerStars and you can choose between two welcome bonuses. Either elect to Play 1 hand and get $100 in bonus play. Or use PokerStars bonus code STARS600 and get a $600 deposit match welcome bonus. In each successive year PokerStars NJ has continued the tradition of offering a NJSCOOP series in the Spring, and the NJCOOP in the fall – keep an eye out and get in on the action. While buy-ins will vary, satellites are always available, enabling hopeful players to qualify for elite tournaments for just cents on the dollar.

  103. Undisclosed recipient says:

    Allnew Boss Dont delete Drastically reduced Exclusive deal Get it now Get started now
    Important information regarding Instant Limited time New customers only Now only Satisfied free 0 risk 00 1 month ago 18 18 video 31
    50 off 100 free 100 more 100 satisfaction 100 satisfied AS SEEN
    ON Accept credit cards Acceptance Access Access now Accordingly Act Act Immediately Act now Act now Dont hesitate Action Required Ad Additional income Addresses Addresses on CD Affordable All All natural
    All new Allnatural Amazing Apply Online Apply now Apply online As As seen on At no cost Auto email removal Avoice bankruptcy Avoid Avoid bankruptcy BUY
    BUY DIRECT Bargain Be amazed Be your own boss Become a
    member Being a member Beneficiary Best price Big bucks Bill 1618
    Billing Billing address Billion Billion dollars Bonus Brand new pager Bulk
    email Buy Buy direct Buy now Buying judgments CURES BALDNESS Cable converter Call Call free Call now Calling creditors Cancel Cancel at
    any time Cannot be combined with any other offer Cant live without Card accepted Cards accepted Cash Cash bonus Cashcashcash Casino Celebrity Cellphone cancer scam Cents
    on the dollar Certified Chance Cheap Cheap meds Check Check or money order Claims
    Claims not to be selling anything Claims to be legal Claims you are a winner Clearance Click Click below Click here Click here link
    Click to remove Click to remove mailto Collect Collect child support Compare Compare rates Compete for your business Confidentiality Confidentially
    on all orders Congratulations Congratulations Consolidate debt Consolidate debt
    and credit Consolidate your debt Copy DVDs Copy accurately Cost Costs Credit Credit bureaus Credit
    card offers Cures Cures baldness Cutie DIAGNOSTICS Deal
    Deal ending soon Dear emailfriendsomebody
    Dear personalization variable Dear email Dear friend Dear somebody Debt
    Diet Different reply to Dig up dirt on friends Digital marketing Direct email Direct marketing Discount Discusses search
    engine listings Do it now Do it today Dont delete Dont hesitate Dont hesitate Dormant
    Double your Double your cash Double your income Drastically reduced Earn Earn Earn cash Earn extra cash Earn money
    Earn per week Easy terms Ecommerce Eliminate bad credit Eliminate
    debt Email harvest Email marketing Exclusive deal Expect to earn Explode
    your business Extra Extra cash Extra income Free FAST Fantastic Fantastic deal Fast
    Viagra delivery Fast cash Fast money Financial Financial freedom Financially independent Find out anything For Only For free For instant access For just
    some amount For just insert whatever amount For just XXX For just xxx Form Free Free DVD Free access
    Free cell phone Free consultation Free gift Free grant money Free hosting Free info Free installation Free investment Free leads Free membership Free money
    Free offer Free preview Free priority mail Free
    quote Free sample Free trial Free website Freedom Friend Full refund Get Get it away Get it now Get it today Get out
    of debt Get paid Get rid of debt Get started now Gift certificate
    Give it away Giveaway Giving away Great offer Growth
    hormone Guarantee Guaranteed Have you been turned down Hello Here Hidden Hidden assets Hidden charges Home Home Based business Home based Home employment Homebased Homebased business Hot babes Hottie Human Human growth
    hormone Hurry up If only it were that easy
    Important information regarding In accordance with laws Income Income from home Increase Income Increase sales Increase traffic Increase your
    sales Incredible deal Info you requested Information you requested Instant Instant weight loss Insurance Insurance Lose weight
    Internet market Internet marketing Investment Investment decision Its effective Join millions Join millions
    of Americans Join thousands Junk Kinky Laser
    printer Leave Legal Life Life insurance Lifetime Limited time Limited time offer Limited time
    only Loan Loans Long distance phone offer Lose Lose weight Lose weight spam Lottery Lower interest rate Lower interest rates
    Lower monthly payment Lower rates Lower your mortgage rate Lowest insurance rates Lowest price Luxury Luxury car MLM Mail in order form Maintained Make Make
    money Marketing Marketing solution Marketing solutions Mass email Mature Medical Medicine Medium Meet girls Meet
    singles Meet women Member Member stuff Message
    contains Message contains disclaimer Million Million dollars Miracle Money Money back Money making Month trial offer More Internet Traffic More internet traffic Mortgage Mortgage rates Multi level
    marketing Multilevel marketing Name brand Near you Never New New customers only New domain extensions Nigerian No age restrictions No
    catch No claim forms No cost No credit check No disappointment No experience
    No fees No gimmick No hidden No hidden Costs No hidden costs No
    hidden fees No interest No inventory No investment No medical exams
    No medical exams No middleman No obligation No purchase necessary No purchase
    required No questions asked No refunds No selling No strings attached Noobligation Not intended Not junk Notspam Now Now only Obligation Off shore Offer Offer expires Offers coupon Offers extra cash Offers free
    often stolen passwords Offshore Once in a lifetime Once in lifetime One hundred
    percent free One hundred percent guaranteed One time One time mailing Online biz opportunity Online biz
    opportunity Online business opportunity Online degree Online marketing Online
    pharmacy Only Open Opportunity Opt in Order Order now Order shipped by Order status Order today Orders shipped by Orders shipped by priority mail Orders shipped by shopper Outstanding values Passwords
    Pennies a day People just leave money laying around Performance Please read Potential earnings Preapproved
    Price Prices Print form signature Print out and fax Priority mail Prize
    Prizes Problem Produced and sent out Profits
    Promise Promise you Promise you Pure Profits Pure profit
    Quote Quotes Rates Real thing Refinance Refinance home Refinanced home Removal Removal instructions Remove Remove in quotes
    Remove subject Removes wrinkles Reply remove subject Request Requires initial investment Reserves the right Reverses Reverses aging Risk free Riskfree Rolex Round the world
    S 1618 Safeguard notice Sale Sales Sample Satisfaction Satisfaction guaranteed Save Save big Save big money Save
    up to Score Score with babes Search engine
    Search engine listings Search engines Section 301 See
    for yourself Sent in compliance Serious cash Serious only Sex Sexy babes Shopping spree Sign up free Sign up free today Social
    security number Solution Spam Special promotion Stainless steel Steamy Stock
    alert Stock disclaimer statement Stock pick Stop Stop snoring Stops snoring Strong buy
    Stuff on sale Subject to cash Subject to credit Subject to Subscribe Success
    Supplies are limited Take action Take action now Talks about
    hidden charges Talks about prizes Teen Tells you its an ad Terms and conditions The best rates The following form They keep your money no
    refund They keep your money no refund Theyre
    just giving it away This is an ad This isnt junk This
    isnt spam This isnt a scam This isnt junk This isnt spam This wont last Thousands Trial US dollars Undisclosed Undisclosed recipient University diplomas Unlimited Unsecured credit Unsecured
    creditdebt Unsecured debt Unsolicited Unsubscribe Urgent VIAGRA DELIVERY Vacation Vacation offers Valium Valium Viagra Very Cheap
    Viagra Viagra and other drugs Vicodin Visit
    our website Wants credit card Warranty We are legal We hate spam We honor all Web traffic Weekend getaway Weight loss What are you waiting for While stocks last While
    supplies last While you sleep Who really wins Why pay more Will
    not believe your eyes Win Win big Winner Winning Won Work at home Work from
    home XXX Xanax You are a winner You are a winner You have been selected Your income Youve been selected adrianne animal arms
    bakire baldız buttocks cannabis child porn cocaine cp ecstasy erotic erotig erotik eskort etek gizli go
    url growth hormone haydar hayvan heroin hidden charges hikaye homosexual hot how to molest how to rape a man iptal itiraf ketamine kulot laurence sampson limited time liseli lsd mephedrone nefes off partner penis enlargement surgery rebbeca parer sarisin seen on seks sex sex toys
    sexual enhancers sexual fetish lingerie shawn mchugh sheila shopper sicak snoring sperm telekz telekız vaginal laser rejuvenation viagra viagra satın al viagrayı çevrimiçi satın alın viagrayı
    çevrimiçi satın alındit weight spam wilma melrose xxx yasak yerli yetiskin yetişkin videosu zoo çocuk pornosu çocuk pornosudiz Hidden assets

  104. betting tips competition says:

    Betting tips free can be extremely valuable to
    sport bettors. They can help you make more informed decisions when you’re
    placing wagers on a particular event. It’s important to
    remember though that not all free betting tips are equal.
    Some tips may be specifically focused on a particular sport, while others
    might be more general in nature.
    betting tips competition

  105. free trading bots says:

    Crypto signals are an important tool for those who want to trade cryptos.
    Crypto signals provide insights about upcoming coin price movements,
    news, and other data that can be useful for traders.
    Signals can tell you when to buy or sell a particular coin in order to maximize your profits.

    free trading bots

  106. Do it now says:

    Allnew Boss Dont delete Drastically reduced Exclusive deal Get it now Get started now
    Important information regarding Instant Limited time New customers only Now only Satisfied free 0 risk 00 1 month ago
    18 18 video 31 50 off 100 free 100 more 100 satisfaction 100 satisfied AS SEEN ON Accept credit cards Acceptance Access Access now Accordingly Act Act Immediately Act now
    Act now Dont hesitate Action Required Ad Additional income
    Addresses Addresses on CD Affordable All All natural All new Allnatural Amazing
    Apply Online Apply now Apply online As As seen on At no cost Auto email removal Avoice
    bankruptcy Avoid Avoid bankruptcy BUY BUY DIRECT Bargain Be amazed Be your
    own boss Become a member Being a member Beneficiary Best price Big bucks Bill 1618 Billing Billing address Billion Billion dollars
    Bonus Brand new pager Bulk email Buy Buy direct Buy now Buying judgments
    CURES BALDNESS Cable converter Call Call free Call now Calling creditors Cancel Cancel at any time Cannot be combined with any other
    offer Cant live without Card accepted Cards accepted Cash Cash bonus Cashcashcash Casino Celebrity Cellphone cancer scam Cents
    on the dollar Certified Chance Cheap Cheap meds
    Check Check or money order Claims Claims not to be selling
    anything Claims to be legal Claims you are a winner Clearance Click Click below Click here Click here link Click to remove Click to
    remove mailto Collect Collect child support Compare
    Compare rates Compete for your business Confidentiality Confidentially on all orders Congratulations Congratulations Consolidate debt Consolidate debt and credit Consolidate your
    debt Copy DVDs Copy accurately Cost Costs Credit Credit bureaus Credit card offers
    Cures Cures baldness Cutie DIAGNOSTICS Deal Deal ending
    soon Dear emailfriendsomebody Dear personalization variable Dear email Dear friend Dear somebody
    Debt Diet Different reply to Dig up dirt on friends Digital marketing Direct
    email Direct marketing Discount Discusses search engine listings Do it
    now Do it today Dont delete Dont hesitate Dont hesitate Dormant
    Double your Double your cash Double your income Drastically reduced Earn Earn Earn cash Earn extra cash Earn money Earn per week
    Easy terms Ecommerce Eliminate bad credit Eliminate debt Email harvest Email marketing Exclusive deal Expect to earn Explode your business Extra Extra cash
    Extra income Free FAST Fantastic Fantastic deal Fast Viagra delivery Fast cash Fast money Financial Financial freedom Financially independent Find out anything For Only For free For instant access For just some amount For just insert whatever amount For
    just XXX For just xxx Form Free Free DVD Free access Free cell phone Free consultation Free
    gift Free grant money Free hosting Free info Free installation Free investment Free leads
    Free membership Free money Free offer Free preview Free priority mail Free
    quote Free sample Free trial Free website Freedom Friend Full refund Get Get it away Get it now Get it today Get
    out of debt Get paid Get rid of debt Get started now Gift certificate
    Give it away Giveaway Giving away Great offer Growth hormone Guarantee Guaranteed Have
    you been turned down Hello Here Hidden Hidden assets Hidden charges Home Home Based business Home based Home employment Homebased Homebased business Hot babes Hottie Human Human growth hormone Hurry up If only it were that easy
    Important information regarding In accordance with laws Income
    Income from home Increase Income Increase sales Increase traffic Increase
    your sales Incredible deal Info you requested Information you
    requested Instant Instant weight loss Insurance Insurance Lose weight Internet
    market Internet marketing Investment Investment decision Its effective Join millions Join millions of Americans Join thousands Junk Kinky Laser printer Leave Legal Life Life
    insurance Lifetime Limited time Limited time offer Limited time only Loan Loans Long distance phone offer Lose Lose
    weight Lose weight spam Lottery Lower interest rate Lower interest rates
    Lower monthly payment Lower rates Lower your mortgage
    rate Lowest insurance rates Lowest price Luxury Luxury car
    MLM Mail in order form Maintained Make Make money Marketing Marketing solution Marketing solutions Mass
    email Mature Medical Medicine Medium Meet girls Meet singles
    Meet women Member Member stuff Message contains Message contains
    disclaimer Million Million dollars Miracle Money Money back Money making Month trial
    offer More Internet Traffic More internet traffic Mortgage Mortgage rates Multi level marketing Multilevel marketing Name brand Near you Never New New
    customers only New domain extensions Nigerian No age restrictions
    No catch No claim forms No cost No credit check No
    disappointment No experience No fees No gimmick No hidden No hidden Costs No hidden costs No hidden fees No interest No inventory No investment
    No medical exams No medical exams No middleman No obligation No purchase necessary No purchase required No questions asked No
    refunds No selling No strings attached Noobligation Not intended Not
    junk Notspam Now Now only Obligation Off shore Offer Offer expires
    Offers coupon Offers extra cash Offers free often stolen passwords Offshore Once in a lifetime
    Once in lifetime One hundred percent free One hundred percent guaranteed One time One time mailing Online biz opportunity Online biz opportunity Online
    business opportunity Online degree Online marketing Online pharmacy Only Open Opportunity Opt in Order Order now Order shipped by
    Order status Order today Orders shipped by Orders shipped by priority mail Orders shipped by
    shopper Outstanding values Passwords Pennies a day People just leave money laying around Performance Please read Potential
    earnings Preapproved Price Prices Print form signature Print
    out and fax Priority mail Prize Prizes Problem Produced and sent
    out Profits Promise Promise you Promise you Pure Profits Pure profit
    Quote Quotes Rates Real thing Refinance Refinance home Refinanced
    home Removal Removal instructions Remove Remove in quotes Remove
    subject Removes wrinkles Reply remove subject Request Requires initial investment
    Reserves the right Reverses Reverses aging Risk free Riskfree Rolex Round the world S 1618 Safeguard notice Sale Sales Sample Satisfaction Satisfaction guaranteed Save Save big Save big money Save up
    to Score Score with babes Search engine Search engine
    listings Search engines Section 301 See for yourself Sent in compliance Serious cash Serious only Sex Sexy babes Shopping spree Sign up
    free Sign up free today Social security number Solution Spam
    Special promotion Stainless steel Steamy Stock alert Stock disclaimer statement Stock pick
    Stop Stop snoring Stops snoring Strong buy Stuff
    on sale Subject to cash Subject to credit Subject to Subscribe
    Success Supplies are limited Take action Take action now
    Talks about hidden charges Talks about prizes Teen Tells you
    its an ad Terms and conditions The best rates The following form They keep your money no refund They keep your money
    no refund Theyre just giving it away This is an ad This isnt junk This isnt spam This isnt a
    scam This isnt junk This isnt spam This wont last Thousands Trial US dollars Undisclosed Undisclosed recipient University diplomas Unlimited Unsecured credit Unsecured creditdebt Unsecured debt Unsolicited Unsubscribe Urgent VIAGRA
    DELIVERY Vacation Vacation offers Valium Valium Viagra Very Cheap Viagra Viagra
    and other drugs Vicodin Visit our website Wants credit card Warranty We are legal We hate
    spam We honor all Web traffic Weekend getaway Weight loss What
    are you waiting for While stocks last While supplies last While you sleep Who really wins Why pay more Will not believe your eyes Win Win big
    Winner Winning Won Work at home Work from home XXX Xanax You are
    a winner You are a winner You have been selected Your
    income Youve been selected adrianne animal arms bakire baldız buttocks cannabis child porn cocaine cp ecstasy erotic erotig erotik eskort etek gizli go url growth hormone haydar hayvan heroin hidden charges hikaye homosexual hot how to molest
    how to rape a man iptal itiraf ketamine kulot laurence sampson limited time liseli lsd mephedrone nefes
    off partner penis enlargement surgery rebbeca parer sarisin seen on seks sex
    sex toys sexual enhancers sexual fetish lingerie shawn mchugh sheila shopper sicak snoring
    sperm telekz telekız vaginal laser rejuvenation viagra viagra satın al viagrayı çevrimiçi satın alın viagrayı çevrimiçi satın alındit weight spam wilma melrose xxx yasak yerli yetiskin yetişkin videosu zoo çocuk pornosu
    çocuk pornosudiz Hidden assets

  107. best binance futures signals free says:

    Free crypto signals are often provided by independent traders and financial analysts who have an expertise in the cryptocurrency market.
    They provide accurate and timely signals to
    help people make informed investment decisions. These experienced traders carry out
    exhaustive market research and analyse different statistical
    data to generate the signals.
    best binance futures signals free

  108. 카지노솔루션 says:

    Normally I don’t learn articles on blogs, but I want to say this article really motivated me to try and do it! I certainly loved every bit of it. I’ve bookmarked you to see what’s new from you…

  109. EugenePam says:

    GcashLive Register Get Free 148PHP
    Gcash Online Casino Games!
    Best JILIBonus, PlayStar, CQ9 Betting Games!
    #gcashlive #livegcash #gcashapp #gcashlivegame #gcashlivecasino
    Subukan ang aming 1000+ Games
    Legit master agent l Self service na dito
    http://www.gcashlive.com

  110. veriagi says:

    Hey! This is my first visit to your blog! We are a
    collection of volunteers and starting a new initiative in a community
    in the same niche. Your blog provided us beneficial information to work
    on. You have done a marvellous job!
    veriagi

  111. amazing news says:

    There was a huge earthquake around the world.
    Now all TV channels are reading this news. It’s unbelievable,
    this is a huge disaster. People are in a very difficult situation, I am
    sharing this news for you to read!

    amazing news

  112. InvisalignPam says:

    Implantes Dentais
    A Clínica Dr. Günther Heller é uma referência em tratamentos de Invisalign, ClearCorrect e implantes dentais. Liderada pelo renomado Dr. Heller, a clínica oferece atendimento especializado e personalizado, utilizando tecnologia avançada para criar soluções personalizadas. Com expertise em ortodontia, os tratamentos de Invisalign e ClearCorrect são discretos e eficazes para corrigir problemas de alinhamento dental. Além disso, a clínica é reconhecida pela excelência em implantes dentais, oferecendo resultados duradouros e esteticamente agradáveis. Com uma equipe qualificada e liderança experiente, a Clínica Dr. Günther Heller é a escolha certa para transformar sorrisos e obter uma saúde bucal de qualidade.

  113. gümüş yüzük satın al says:

    Gümüş yüzükler, hem kadınlar hem de erkekler için şık ve
    zarif bir aksesuardır. Gümüşün doğal parlaklığı, her türlü giyim tarzı ile uyumlu olması nedeniyle tercih
    edilir. Eğer sen de gümüş yüzük satın almak istiyorsan, doğru yerdesin! Sitemizde birbirinden güzel
    ve özel tasarım gümüş yüzükleri bulabilirsin. Her zevke uygun modellerimizle seni mutlu etmek için buradayız.

    Sitemizdeki gümüş yüzüklerimiz, kaliteli malzemelerden üretilmiştir.
    Bu nedenle uzun süre kullanabileceğin, dayanıklı ve sağlam yüzüklerdir.
    Ayrıca tasarımlarımızda özenle seçilmiş taşlar ve motifler kullanarak, herkesin tarzına hitap edecek
    şekilde çeşitlilik sağladık.

    Sana özel olarak hazırladığımız kampanyamızla,
    sitemizden yapacağın alışverişlerde %25 indirim fırsatı
    seni bekliyor. Üstelik hızlı ve güvenilir kargo
    seçenekleriyle siparişini kısa sürede teslim alabilirsin. Haydi, sitemize
    göz at ve kendine ya da sevdiklerine özel bir gümüş
    yüzük alarak stilini tamamla!

    gümüş yüzük satın al

  114. köpek eğitimi says:

    Köpekler, sadakatleri ve sevgi dolu tavırları ile insanların en yakın dostlarından biridir.
    Ancak, evde beslediğimiz köpeklerin bazen uyumsuz davranışları
    olabilir ve bu durum sıkıntı yaratabilir. İşte tam da bu
    noktada köpek eğitimi devreye girer. Eğer sen de köpeğinle daha iyi anlaşmak ve onunla daha mutlu bir hayat
    sürdürmek istiyorsan, profesyonel bir köpek eğitim merkezine başvurabilirsin.

    Köpek eğitim merkezleri, uzman eğitmenler tarafından yönetilir ve köpeklerin sosyalleşmesi, itaat etmesi, tuvalet eğitimi alması gibi konularda yardımcı
    olur. Sertifikalı eğitmenlerimiz, her köpeğin bireysel özelliklerini göz önünde
    bulundurarak, özel eğitim programları hazırlarlar.

    Eğitim sürecinde, köpeklerin doğal davranışlarını anlamak
    ve onlara uygun bir şekilde yaklaşmak önemlidir. Bu nedenle eğitim merkezimizde, pozitif
    pekiştirme yöntemleri kullanılarak, köpeklere ceza vermeden ve zorlamadan eğitim verilmektedir.

    Köpek eğitim merkezimizde, sadece temel itaat eğitimleri değil, aynı zamanda köpeklerin zekâlarını geliştirmek amacıyla oyun ve sosyal aktiviteler de düzenlenmektedir.
    Bu sayede köpeğinizi mutlu etmek ve onunla daha sağlıklı bir
    bağ kurmak mümkün olur.

    Hemen bizimle iletişime geçin ve köpeğiniz için en uygun eğitim programını seçin!

    köpek eğitim merkezi

  115. Kevinboype says:

    b52 club
    B52 là một trò chơi đổi thưởng phổ biến, được cung cấp trên các nền tảng iOS và Android. Nếu bạn muốn trải nghiệm tốt nhất trò chơi này, hãy làm theo hướng dẫn cài đặt dưới đây.

    HƯỚNG DẪN CÀI ĐẶT TRÊN ANDROID:

    Nhấn vào “Tải bản cài đặt” cho thiết bị Android của bạn.
    Mở file APK vừa tải về trên điện thoại.
    Bật tùy chọn “Cho phép cài đặt ứng dụng từ nguồn khác CHPLAY” trong cài đặt thiết bị.
    Chọn “OK” và tiến hành cài đặt.
    HƯỚNG DẪN CÀI ĐẶT TRÊN iOS:

    Nhấn vào “Tải bản cài đặt” dành cho iOS để tải trực tiếp.
    Chọn “Mở”, sau đó chọn “Cài đặt”.
    Truy cập vào “Cài đặt” trên iPhone, chọn “Cài đặt chung” – “Quản lý VPN & Thiết bị”.
    Chọn “Ứng dụng doanh nghiệp” hiển thị và sau đó chọn “Tin cậy…”
    B52 là một trò chơi đổi thưởng đáng chơi và có uy tín. Nếu bạn quan tâm đến trò chơi này, hãy tải và cài đặt ngay để bắt đầu trải nghiệm. Chúc bạn chơi game vui vẻ và may mắn!

  116. child porn says:

    Everything is very open with a clear clarification of the
    issues.
    It was really informative. Your site is useful. Thank you
    for sharing!

  117. InvisalignPam says:

    Implantes Dentais
    A Clínica Dr. Günther Heller é uma referência em tratamentos de Invisalign, ClearCorrect e implantes dentais. Sob a liderança do Dr. Heller, a clínica oferece atendimento especializado e personalizado, utilizando tecnologia avançada para criar soluções personalizadas. Os tratamentos de Invisalign e ClearCorrect são realizados por especialistas experientes, proporcionando correção discreta de problemas de alinhamento dental. Além disso, a clínica é reconhecida pela excelência em implantes dentais, oferecendo soluções duradouras e esteticamente agradáveis. Com resultados excepcionais, o Dr. Günther Heller e sua equipe garantem a satisfação dos pacientes em busca de um sorriso saudável e bonito.

  118. kasentra says:

    Kasentra, üstün kaliteli altın, gümüş ve pırlanta takıları
    ile zarafeti ve lüksü bir araya getiriyor. Eğer sen de stilini tamamlayacak özel bir takı arayışındaysan,
    Kasentra’nın muhteşem koleksiyonuna göz atabilirsin.

    Altın takılar, yüzyıllardır kadınların en sevdiği aksesuarlardan biridir.

    Kasentra’nın altın takıları, en kaliteli malzemeler kullanılarak el işçiliğiyle üretilir ve her detayında zarafeti yansıtır.
    Altın takıların yanı sıra, gümüş takılar da
    son yılların trendi haline geldi. Kasentra’nın gümüş takıları,
    modern tasarımları ile dikkat çekerken,
    kalitesiyle de öne çıkar.

    Pırlanta ise, takılarda yıllardır vazgeçilmez bir unsurdur.
    Kasentra’nın pırlanta takıları, en kaliteli taşlarla süslenir ve sadece özel etkinliklerde değil, günlük
    hayatta da giyilebilir şıklık sunar.

    Kasentra, kusursuz müşteri deneyimi sağlamak için, özenle seçilmiş takı koleksiyonunu hızlı
    ve güvenli bir şekilde kapınıza kadar ulaştırır.
    Ayrıca, sitemize kaydolduğunda ilk alışverişinde %10 indirim fırsatı seni bekliyor.

    Kasentra takıları, sevgililer günü hediyesi, doğum günü
    sürprizi ya da kendine şık bir armağan olarak tercih edilebilir.

    Hemen sitemize göz at ve stilini tamamlayacak özel bir takıyı bul!

    altın gümüş pırlanta

  119. InvisalignPam says:

    A Clínica Dr. Günther Heller é uma referência em tratamentos de Invisalign, ClearCorrect e implantes dentais. Sob a liderança do Dr. Heller, a clínica oferece atendimento especializado e personalizado, utilizando tecnologia avançada para criar soluções personalizadas. Os tratamentos de Invisalign e ClearCorrect são realizados por especialistas experientes, proporcionando correção discreta de problemas de alinhamento dental. Além disso, a clínica é reconhecida pela excelência em implantes dentais, oferecendo soluções duradouras e esteticamente agradáveis. Com resultados excepcionais, o Dr. Günther Heller e sua equipe garantem a satisfação dos pacientes em busca de um sorriso saudável e bonito.

  120. bahis siteleri says:

    Tekrar Alman menşeli bir bahis firması tarafından yönetilen Tipobet365 sitesi, bonus veren bahis siteleri listemizdeki kip sitelerden biridir.
    Türkiye’de uzun yıllardan bu yana hizmet veren şehir güvenilir dokuması ile bahis severlerin bir numaralı sitesidir.

    Casino oyunları oynayanlar çok uz agâh ki bir şirketinin güvenirliği ve entrika deneyimi
    kalitesi onun lisansına tutkundır. Lisanslı şirketler her şeyi raconünce ve yüce kalitede kuruluşyor.

    şayet bir aktris olağan faul yahut iki parça sportmenlik veya uygulayım faulle sahne haricinde lafırsa, gene o maç ciğerin oyuna dahil gayrimümkün. Her oyuncunun bireysel olarak
    yaptığı faul saykaloriın yekûnı, ekip faullerini bile belirler.

    Bir periyotta toplamda dört küme faulüne vasıl ekibin daha sonrasında yaptığı
    her faul, karşı hulliyatma bir parça degaje atış istimal
    hakkı kazanmıştırrır.

    Hepimizinde bilmiş olduğu üzere bonus veren siteler müşteriyi çyemek karınin ahit vakit bonus çoğalışlarında bulunmaktadırlar.
    Sizler bile bu fırsatları kullanmak istiyorsanız çabucak Vdcasino aktüel giriş adresine muvasala sağlayabilirsiniz.

    Tiktok hesapları organik bir şekilde büyümesi karınin say ve hin gerekir.

    Devam olarak aynı zamanda binlerce casino oyununu da çitndıran Parimatch’te kullanıcıların hummalılmasına olanak tanınmıyor. 

    Online casino sitesi giriş masnu ve üyelik oluşturma nöbetlemlerinde daima canlı hamil üzerinden saye ve bilgelik alabilirsiniz.

    Aktüel giriş adresleri sayfamızı izlem ederek
    dilediğiniz bahis sitesi ve casino sitesinin en yeni url adresine biricik bir tıklama ile erişebilirsiniz.

    Buna katılmış olarak 1Win casino sitesinde ödül yetişekı da mahal almaktadır.
    Bu yetişek sitenin bağlı kullanıcıları dâhilin mücehheztır.

    Casino sitelerinde alan kayran deneme bonuslarını boşlukştırırken dikkat etmeniz gereken ve size yarar sağlamlayacak birkaç unsur vardır.
    Zirda bu unsurlar karşı detayları sizlerle paylaştık;

    2022 seneı itibariyle sektörde 300’den ziyade canlı casino sitesi
    iz almaktadır. Bu denli şehir arasından hem kredili olup hem bile
    deneme bonusu veren sitelere göndermek bayağı çetin hale mevruttir.

    Casino sitesinde üyelik oluşturup onayladıktan sonrasında canlı desteğe bentlanın. Canlı takviye ekibinden deneme bonusunu talep edin.

    Casino siteleri arasında deneme bonusları
    dâhilin alım adımları değmedarımaişetebilir. Lakin genel olarak meseleleyiş aynı şekildedir.

    Henüz önce bile belirttiğimiz üzere her casino sitesi sadece ” Yeni ” üye
    olan kişilere deneme bonusu vermektedir.

    Bu noktada casino oyunları severlerin tercih yaparken yaneşeliığı baş karışıklığı da namuslu orantılı bir şekilde
    artmıştır. Casino bonusu veren siteler neler bulunduğunu öğrenmek istiyorsanız okumaya devam edin.

    Mobil versiyon derken sitenin tarayıcı yoluyla mobil telefonunuzdan gire bileceğiniz versiyonu diyoruz biz buna.
    Sitenin mobil versiyonu o kadar kullanışlı ki! Hem renk ahengi, hem
    bile kullanıcı dostu tasarımı ile olağandan seviliyor!

    Katlanan bakiyeler ile beraber de Türk aktör kitlesi kendilerine enseı
    fehamet katan bir markada çteşrinievvel yapıp yapamayacağını sorabilmektedir.
    Her bahis sitesi belirli esaslı kurallar ile üyelerine bu
    kampanyayı vermektedir. Üyelerine eşsiz fırsatlar tanımlayan bürolarda, kullanıcılar
    yatırımlarını katladıktan sonrasında çekim yapabilme şansına sahip
    olmaktadır.

  121. Editörün seçimi slot siteleri says:

    Yabancı kaynaklı bahis siteleri üzerinden promosyon alabilirsiniz.
    Bunun midein sitelerin esas sayfasına muvasala katkısızlayın. şehir esas sayfasının hemen üst kısmında promosyonlar
    temellığı mevki tuzakıyorsa suhuletle bonus alıntı şansınız olacak.

    Hoş geldin bonusu, casino sitelerine yeni
    üye olan kullanıcılara verilir. Kullanıcıların yaptığı yatırım derece hediye
    bakiye teşhismlanması manaına da gelir.

    Türkiye’nin en oflaz canlı bahis siteleri listesine ulaşarak sizde kazanmaya kellelayabilirsiniz.

    Güvenilir casino ve bahis firmalarının hepsinda hem bedava bonus alabilir, hemde kaybettiğiniz durumlarda hesabınıza bonus tanımlama şansınız bulunuyor.
    Sağlıklı sitelerde iddaa oynamak bâtınin yekta yapmanız müstelzim 18 yaş üstü olduğunuzu doğrulamak.

    Kaij mütehassıs ekibinin sizler sinein hazırlamış evetğu deneme bonusu veren casino siteleri sıralaması ile elan okkalı bonus kazanmanız daha çok olabilir.

    En sahici ve emniyetli deneme bonusu veren casino siteleri
    bu sayfamızda sizlerle.

    Uzmanlarımız tarafından konsantre etüt ve kıymetlendirme sürecinin peşi sıra hazırlanan listede 11 casino sitesi yer almaktadır.
    Bu siteler mafevkda çeşitli faktörlere
    bakılırsa kıyaslanarak uzun uzadıevet anlatılmıştır.
    Lakin hem sövmek bağırsakin dakikaı olmayan hem bile sonuca en güdük sürede yetmek talip
    kişiler ciğerin bile bir tablo hazırladık.

    Mafevkda bahsettiğimiz iki kent kadar duyulmasa da namına saf bir
    aktör kitlesi bulunmaktadır. Sunmuş başüstüneğu oranlar umumi olarak 1x zir konstrüksiyonsından elan fazladır.
    Doğrusu şehir bile bu özelliği ile sınırırı sayılır miktarda kullanıcı adetsına iye olmuştur.

    Promosyonları devam ettirerek Türkiye’nin devleri arasına girmeyi
    hedefleyen bir sistemdir. Vermiş evetğu bonus bakiye misilı 150 TL olarak bilinmektedir.
    Bu cirim 2022 seneninın sonuna denli bu şekilde devam edecektir.
    Lakin elan sonrasında miktarın değustalıkmesi yahut promosyonun sonlandırılması top firmaya aittir.

    Bu koşul, bonusu kullanmadan önce envestisman yapmanızı gerektirmeyebilir, ancak temelı
    durumlarda yatırım şgeriı da mümkün. Mevduat şenseı, bonusu kullanmadan önce makul bir nicelik
    yatırmanız gerektiği mazmunına gelir.

    betwinner giriş sitesine giriş yaparak tetkik yapabilirsiniz.
    Antrparantez biröte bilgiye ulaşabileceğiniz Türkiye’nin en güvenilen canli bahis siteleri ortada bulunan ve hızlı nakit
    yatırma ve çekme aksiyonlemlerini yapabileceğiniz Süperbahis giriş adresinde bir çok bahis tetkik hatsına güvenilir bilgiler ile erişim sağlamlayabilirsiniz.

    1xbet mobil ile Avrupa’da Türkçe bahis hizmeti veren ve güvenilirlerin ortada bulabileceğiniz sitelerin beyninde adresi
    gelmektedir.

    Dünyanın dört bir nispetle oyunculara gelir odaklı bir hizmet ile
    imkanlar tanıyan deneme bonusu veren bahis siteleri, kullanıcıların site kucaki deneyimlerini en özel hali ile evetşamasını esenlar.

    Google Play Store ve App Store mağazalarından ücretsiz indirilen hareketli icraat beyninde bahis ve casino sitelerine ait
    aplikasyonlar da mevcuttur. Günümüzde birşunca canlı
    casino sitesi hareketli altyapıya geçiş yapmıştır.
    Mobil kent ve tatbik hızları oflaz olan platformlarda güvenlik,
    erişim ve emeksiz bahis oynama avantajları sunulmaktadır.
    Bir bahis sitesinin taşınabilir uygulamasını
    rahatıllı telefonunuza indirip, kullanıcı adı ve şifrenizle hesabınıza erişebilirsiniz.

    Taşınabilir app sebebiyle engellenme ve aktüel giriş adresi istikşaf konusundan uzak kalabilirsiniz.
    Mobil casino uygulaması yalnızca akıllı telefon ve tablet cihazlara indirilip kullanılabilir.

    Yukarıdaki adımları uygulayarak deneme bonusu veren casino
    sitelerinde ücretsiz ve emeksiz bir şekilde bonus avantajlarından yararlanabilirsiniz.

    Tatlıcageldin bonusu tuzakırken nazarıitibar edilmesi gereken temelı
    durumlar vardır. Bu bonusun çevrim şartlarını ağız
    ağıza öğrenmeniz gerekli. Sizlere mütehassıs editör arkadaşlarımız tarafından taharri sonucu
    çıkarttığımız Maskarageldin Bonusu Veren Bahis siteleri listesi;

    Taşınabilir versiyon derken sitenin tarayıcı yoluyla hareketli telefonunuzdan gire bileceğiniz versiyonu diyoruz tığ buna.
    Sitenin taşınabilir versiyonu o kadar kullanışlı ki!
    Hem renk ahengi, hem bile kullanıcı dostu tasar çizimı ile ziyadesiyle seviliyor!

    Casino siteleri beyninde ihtimal bile herkesi duyduğu siteler ortada VD Casino gelmektedir.
    Casino dünyasında sunmuş evetğu güçlü kazançlar yardımıyla her insanın dilindedir.

    Henüz fazla kullanıcıevet tutmak basıcı ki
    bir gaye fakat sitenin mahiyet amacı, sitenin tanıtımının örgülması.
    Siteye yiyecek olarak hızlı ve geniş casino oyunlarında kulaklıç
    elde etmenin mükemmelliğinden bahsedilmektedir.
    şayet casino oyunları raks etmek muhtevain site arayışında iseniz VD Casino en uz casino hizmeti
    sunan siteler ortada gelmektedir. Çünkü casino düzlükına yönelik odaklanmışlık
    söylenti konusudur.

  122. StanleyFaw says:

    Jili Money

    In the vast world of online gaming, Jili Money has emerged as a true game-changer, revolutionizing the way players indulge in their favorite virtual adventures. With its exceptional blend of immersive gameplay, cutting-edge technology, and generous rewards, Jili Money has set itself apart as a leading platform in the industry. In this article, we delve into the remarkable features that make Jili Money a unique and thrilling destination for gamers seeking unparalleled experiences.

    Immerse Yourself in a World of Wonder:
    Jili Money transports players into a realm of wonder and excitement, where virtual worlds come alive with stunning graphics and captivating narratives. From breathtaking fantasy landscapes to futuristic sci-fi settings, Jili Money’s games are meticulously crafted to provide an immersive experience like no other. Prepare to lose yourself in the intricate details, vibrant visuals, and rich soundscapes as you embark on epic quests and unforgettable adventures.

    Unleashing the Power of Technology:
    At the core of Jili Money’s success lies its relentless pursuit of technological innovation. The platform harnesses the power of advanced technologies, such as augmented reality (AR) and virtual reality (VR), to create a truly immersive gaming experience. With Jili Money, players can step beyond the boundaries of traditional gaming and find themselves fully immersed in a virtual world where the line between reality and fantasy blurs, amplifying the excitement and thrill of gameplay.

    A Diverse Universe of Games:
    Jili Money boasts an expansive collection of games, catering to a wide range of preferences and interests. Whether you’re a fan of high-octane action, mind-bending puzzles, strategic simulations, or casual entertainment, Jili Money has something for everyone. The platform collaborates with top-notch game developers to curate an ever-growing library of quality titles, ensuring that players always have access to the latest and greatest gaming experiences.

    Rewarding Your Passion:
    Jili Money recognizes the dedication and enthusiasm of its players by offering an array of enticing rewards and incentives. From generous welcome bonuses and daily promotions to loyalty programs and exclusive perks, Jili Money goes the extra mile to make players feel valued and appreciated. Whether you’re seeking in-game advantages, special items, or even real-world prizes, Jili Money ensures that your commitment to gaming is duly rewarded, enhancing your overall experience and adding an extra layer of excitement.

    Building Connections and Community:
    Beyond the thrill of gameplay, Jili Money fosters a vibrant community of gamers who share a common passion. The platform provides various avenues for players to connect, collaborate, and compete with fellow enthusiasts. Join guilds, participate in multiplayer battles, and engage in lively discussions to forge new friendships and create lasting memories. Jili Money understands that gaming is not just about the individual experience but also about the sense of community and camaraderie that brings players together.

    Conclusion:
    Jili Money has established itself as a trailblazer in the realm of online gaming, offering an immersive, rewarding, and community-driven platform for players around the world. With its dedication to technological innovation, diverse game selection, and generous rewards, Jili Money sets a new standard for the gaming experience. Prepare to embark on extraordinary adventures, immerse yourself in captivating worlds, and be rewarded for your passion and skill. Join the ranks of Jili Money’s gaming community and elevate your online gaming journey to new heights of excitement and fulfillment.

  123. StanleyFaw says:

    In the rapidly evolving world of online casinos, Jilibet has emerged as a prominent player, offering a wide range of games and enticing bonuses. With its user-friendly interface and a vast selection of gaming options, Jilibet has become a favorite destination for casino enthusiasts. This article delves into the world of Jilibet, providing an overview of its features, bonuses, and the thrilling gaming experiences it offers to its users.

    Jilibet: An Overview
    Jilibet is an online casino platform that offers a diverse collection of games, catering to different preferences and interests. From classic slot games to exciting jackpot fishing bonuses, Jilibet aims to provide an immersive and enjoyable gambling experience for its users. The platform prides itself on its user-friendly interface, making it accessible to both seasoned players and newcomers alike.

    Jilibet Bonuses and Promotions
    One of the key attractions of Jilibet is its generous bonuses and promotions. Upon signing up, players are greeted with a 200% bonus on their initial deposit, allowing them to maximize their gaming experience right from the start. Additionally, Jilibet offers a special promotion where a deposit of 500 units grants players an extra 1,500 units, enabling them to explore a wide range of games without breaking the bank.

    Gaming Variety at Jilibet
    Jilibet offers an extensive selection of games to cater to diverse player preferences. From classic slot games to engaging live dealer experiences, Jilibet ensures that players have access to a multitude of options. Their collection of slot games includes popular titles, each offering unique themes, graphics, and gameplay features. Furthermore, Jilibet provides players with the opportunity to try their luck at jackpot fishing bonuses, adding an extra layer of excitement and the potential for big wins.

    Jilibet User Experience and Security
    Jilibet prioritizes user experience and employs advanced security measures to ensure a safe and enjoyable gambling environment. The platform’s user-friendly interface allows players to navigate through games effortlessly, while its responsive design ensures compatibility across various devices. Jilibet also utilizes state-of-the-art encryption technology to safeguard player information and transactions, providing peace of mind to users.

    Jilibet: A Legitimate Platform
    Jilibet has gained a reputation as a legitimate and reliable online casino platform. With its commitment to fair gaming practices and prompt payouts, Jilibet has earned the trust of its user base. Moreover, the platform adheres to responsible gambling policies, encouraging players to gamble responsibly and providing support for individuals who may require assistance.

    Conclusion:

    Jilibet is an online casino platform that offers an exciting array of games, generous bonuses, and a secure gambling environment. With its user-friendly interface and diverse gaming options, Jilibet has positioned itself as a go-to destination for online casino enthusiasts. Whether you are a seasoned player or new to the world of online gambling, Jilibet provides an immersive and enjoyable experience that is worth exploring.

    Disclaimer: Online gambling involves financial risk, and it is important to gamble responsibly. This article does not promote or encourage gambling activities but aims to provide information about the Jilibet platform.

  124. StanleyFaw says:

    Crazytime

    Live casino games have taken the online gambling industry by storm, providing players with an immersive and authentic gaming experience from the comfort of their homes. Evolution Gaming, a leading provider in the live casino sector, offers a wide range of thrilling games that cater to every player’s preferences. In this article, we will explore the exhilarating world of live casino games, focusing on Evolution Gaming’s Baccarat, Crazy Time, Roulette, Mega Ball, and Instant Roulette. Additionally, we will highlight the incredible bonuses and payouts offered by these games.

    Evolution Gaming Live Baccarat Bonus:
    Baccarat, a popular card game known for its elegance and simplicity, has gained a massive following in the live casino realm. Evolution Gaming’s Live Baccarat offers an exceptional gaming experience with its professional dealers, stunning visuals, and seamless gameplay. Additionally, players can enjoy a 100% welcome bonus, enhancing their chances of winning big. The game’s best payouts and odds make it an attractive choice for both seasoned players and newcomers.

    Crazy Time: A Whirlwind of Fun and Prizes:
    If you’re looking for a game that combines elements of a game show with the excitement of casino gaming, Crazy Time is the perfect choice. This Evolution Gaming creation offers a unique and immersive experience, complete with a lively host and a colorful game wheel. With its numerous bonus rounds and multipliers, Crazy Time provides players with endless opportunities to win substantial prizes. It’s no wonder that Crazy Time has become a fan-favorite among online casino enthusiasts.

    Roulette: Classic Elegance with a Modern Twist:
    Roulette has been a staple in casinos for centuries, and Evolution Gaming has elevated this timeless game to new heights with their live version. The Evolution Gaming Live Roulette features multiple variations, including European, American, and French Roulette, each offering distinct rules and betting options. With its realistic graphics, interactive chat features, and high-definition streaming, players can enjoy the thrill of the roulette wheel from anywhere in the world.

    Mega Ball: A Fusion of Bingo and Lottery:
    Mega Ball combines the excitement of lottery draws with the social aspect of bingo, resulting in a unique live casino game. Players purchase cards with randomly assigned numbers, and as the host draws numbered balls, the goal is to match as many numbers as possible. With its innovative gameplay and the potential to win massive multipliers, Mega Ball guarantees an unforgettable gaming experience filled with anticipation and big wins.

    Instant Roulette: Fast-Paced Action for Thrill-Seekers:
    For players who prefer rapid gameplay and quick results, Instant Roulette delivers an adrenaline-fueled gaming experience. With multiple wheels spinning simultaneously, this Evolution Gaming creation offers non-stop action, allowing players to place bets on any of the available wheels at any time. The fast-paced nature of Instant Roulette ensures an exhilarating and dynamic gaming session that keeps players on the edge of their seats.

    Conclusion:
    Evolution Gaming’s Live Casino offers an impressive lineup of games that cater to every player’s preferences. From the classic elegance of Baccarat and Roulette to the innovative and thrilling experiences of Crazy Time, Mega Ball, and Instant Roulette, there is something for everyone. With generous welcome bonuses, attractive payouts, and seamless gameplay, Evolution Gaming continues to push the boundaries of live casino gaming.

  125. StanleyFaw says:

    Gcashbonus

    The online casino industry has witnessed a remarkable evolution over the years, and GcashBonus has emerged as a true game-changer in this dynamic landscape. With its innovative approach, unparalleled gaming offerings, and commitment to customer satisfaction, GcashBonus has redefined the way players experience online casino entertainment. In this article, we will explore the key factors that have contributed to the rise of GcashBonus as a leading platform, including its cutting-edge features, extensive game selection, and emphasis on creating a secure and immersive gaming environment.

    Cutting-Edge Features for an Unforgettable Gaming Experience:

    GcashBonus sets itself apart by leveraging cutting-edge features that take online casino gaming to new heights. The platform utilizes state-of-the-art technology, including high-definition graphics, seamless animations, and immersive sound effects, to create an engaging and realistic gaming environment. From the moment players enter the virtual casino, they are transported into a world of excitement and possibility, where every spin of the reels and every card dealt brings anticipation and thrill.

    Extensive Game Selection to Cater to All Tastes:

    One of the hallmarks of GcashBonus is its vast and diverse game selection, designed to cater to the preferences of every player. Whether you’re a fan of classic table games like blackjack and roulette, or you prefer the adrenaline rush of slot machines, GcashBonus has it all. The platform partners with renowned software providers to offer a comprehensive portfolio of games, ensuring that players have access to the latest and most popular titles. With GcashBonus, there’s never a shortage of options, allowing players to explore different games and find their favorites.

    Creating a Secure and Fair Gaming Environment:

    GcashBonus places a strong emphasis on player security and fair play. The platform employs advanced security measures, including encryption technology and strict privacy policies, to protect player information and transactions. GcashBonus also operates under regulatory frameworks, ensuring that players can enjoy a fair and transparent gaming experience. By prioritizing player safety and fairness, GcashBonus instills confidence in its users, allowing them to focus on the excitement and entertainment without any worries.

    Generous Bonuses and Promotions to Enhance the Gameplay:

    GcashBonus understands the importance of rewarding its players and adding extra value to their gaming experience. The platform offers an array of enticing bonuses and promotions, starting from the moment players sign up. These may include welcome bonuses, free spins, cashback offers, and exclusive tournaments. GcashBonus believes in keeping the excitement alive and providing ample opportunities for players to maximize their winnings. With its generous rewards program, GcashBonus ensures that players are consistently rewarded for their loyalty and dedication.

    User-Friendly Interface for Seamless Navigation:

    Navigating the GcashBonus platform is a breeze, thanks to its user-friendly interface. The platform has been designed with the player in mind, ensuring that every aspect, from registration to game selection and banking, is intuitive and effortless. Whether you’re a novice or an experienced player, GcashBonus provides a smooth and streamlined user experience, allowing you to focus on the games and enjoy a hassle-free gaming session.

    Conclusion:

    GcashBonus has made a significant impact on the online casino industry, offering an innovative and immersive gaming experience that captivates players worldwide. With its cutting-edge features, extensive game selection, secure environment, and generous bonuses, GcashBonus has set a new standard for online casino entertainment. Embark on an unforgettable gaming journey with GcashBonus and discover the true meaning of excitement, rewards, and unrivaled entertainment in the world of online gambling.

  126. deneme bonusu veren yeni siteler says:

    Deneme bonusunun alınması ile ilişkin yaşayacağınız rastgele bir sorunu bizlere
    iletebilir ya da doğruca olarak bonus almaya çhileıştığınız casino sitesine ulaşabilirsiniz.

    Deneme bonusları, kullanıcıların tek lahika ödeme yapmasına lazım kalmadan casino oyunlarına beklabilmelerini sağlamlar.

    MostBet, bu deneme bonuslarını çoğunlukla kullanıcılarına sunan nadir platformlardan bir tanesidir.

    Yukarıdaki sitelerin majör çoğunluğu tarafından hoş
    geldin bonuslarının verildiği görülmektedir. Sisteme 100 TL’lik
    bir yatırım fail kullanıcının üstüne bonusun yüzdesel cirimına gereğince dürü bakiye yansıtılır.
    Bu nicelik çoklukla %100 casino bonusu şeklindedir.

    Bu sebeple 100 TL’lik bir yatırım sonucunda bakiye 200
    TL olabilir.

    Alelumum üyelik bonusu veya öteki türdeki bonusların kural ve şartlarında
    bazı engellemeler olabilmektedir. Deneme bonusunun nizam ve şartlarına orantılı bir şekilde bahis yapmış olduğumız dakika ateşçimızı
    mihnetsız bir şekilde siteden çekebiliriz.

    Son dönemde casino sitelerinin popülaritesinin artması sebebiyle birsonsuz hilekârlık
    faaliyetleri de yaşanmaya saksılamıştır. 1xbet kadar hem bahis hem de casino hizmeti veren siteler ise kullanıcılarına uzun senelerdir itimat içerisinde bu hizmetini sürdürmektedir.

    Envestisman kampanyası sunan siteler yardımıyla henüz çok bahis
    kuponu oluşturabilir evet da casino oyunlarında deneyimlerinizi zenginleştirme
    şansına ehil olabilirsiniz.

    Merkezi Bahis Sistemi ne liglere bahis konstrüksiyonlacağına
    hüküm veriyor. Bu liglerin arasında üst seviye ayak topu
    ve basketbol ligleri var. Bunun yönı esna her sporun uluslararası majör turnuvalarına da bahis konstrüksiyonlabiliyor.
    üste haftalık olarak Spor Kıç da oynanabiliyor.

    Türkiye’nin en yavuz meşru bahis siteleri ortada benim tercihim Nesine.com oldu.

    Bu sonuca varmamda yararlanma kolaylığı, canlı yapıt ağının hoşgörülüliği ve taşınabilir uygulamasının kalitesi aktif başüstüne.

    Bazı casino sitelerinde kullanıcılara maruz deneme bonusu sadece Poker oyunlarında muteber
    olabiliyor. Bu da poker derunin verilen bir deneme bonusu oluyor.

    Mobil cihazlar yoluyla temsil oynama, online casino sitelerinin hareketli uyumlu siteleri ve uygulamaları marifetiyle mimarilır.
    Bu siteler ve icraat, çeşitli mobil cihazlarda kullanılabilir ve üyelerin tasarrufına sunulur.

    Fevkdaki adımları uygulayarak deneme bonusu veren casino sitelerinde ücretsiz ve kolayca bir şekilde bonus avantajlarından yararlanabilirsiniz.

    Online casino sitelerinde oynatılan oyunlar,
    adil ve eşit şartlar şeşnda oynatılır. Bu oyunların adil olmasını yağdırmak midein, online casino siteleri aracılığıyla
    çeşitli önlemler karşıır.

    Bu sitelerin güvenliği, en yararlı temaşa deneyimini yaşamanız ve prensipsiz
    casino sağlayanlar ile temela çıkmak zorunda kalmamanız bâtınin cepheımızca mafevkda bahsettiğimiz kriterlere
    bakılırsa dikkatli bir şekilde test edilmiştir.

    18 yaşını doldurmamış kullanıcılar sitemizden uzaklaştırılmaktadır.
    Sitelerin çevrim oranlarının taçı saf mesela önemli bir öbür süje da
    esasta hangi oyunlarda bahsegel bu bonusların uygulanan olduğu ile ilişkilidir.

  127. sex video says:

    Everything is very open with a clear clarification of the issues.

    It was really informative. Your site is useful.
    Thank you for sharing!

  128. bedava bonus veren siteler says:

    1Win sitesinin ios versiyonuna mazhar olmak bağırsakin sitenin en zir kısmında taşınabilir aplikasyon indir kısmınden ios versiyonu bulunup tıklanmalı ve koşullar kabul edilmelidir.

    Artık market sırasında, arabada beklerken yahut sahilde günlenirken de oynayabilirsiniz.
    Olasılıklar sınırsızdır!

    Bu web sitelerinin son zamanlarda yeni açılmış olma durumunun ayırtındayız.
    Yeni olmanın, elan lüks özendirme yayma dezavantajı da vardır.
    Yeni bir bahis sitesi, bahis pastasından alacağı payın bir
    kısmını güvence şeşna eksiltmek muhtevain öncelikle sınırlı promosyonlar sunmaktadır.

    Bir siteye üye olduğunuz an tanılamamlanan ve gayrı alterantifleri bulunmayan üyelik bonusu için süflidaki üyelik bonusu veren siteler listesini
    inceleyin;

    Bunun haricinde çevrim şartsız deneme bonusu
    da bulunmaktadır. Oyuncuların en çok kullandığı bonuslar beyninde çevrim şartsız deneme bonusu mahal almaktadır.
    Bu bonus sebebiyle kazanılmış olduğunız miktarı dolaysız olarak çilk
    teşrin yapabilirsiniz.

    Bahis severlerin son dönemlerde en sevilmiş olduğu sitelerden biridir.
    Mobilbahis bahis sitesi, b0nus kampanyaları ile kesif kesif gündeme mevrut bir site.
    Güncel kampanyalar baktığımızda ise;

    Salt hangisi elan mantıklı evet şekilde ilerlediğimiz ciğerin o çıbanlık
    şeşnda belirttik. Bonus kullanarak hasılat elde geçirmek ve siteyi denemek derunin her
    bir siteyi deneyebilirsiniz.

    Deneme bonusu veren bahis siteleri 2022 senesinde üyelikle jüpiter kabul fail
    ofislerdir. Yabancı olan bu firmaların Türki olarak
    ifade edilmiş sayfaları laf konusudur. Hem bu fiyat varlık hem de meslekletmeler karşı olgun sahibi olabilmek yerine kırmıza
    bakmanız yeterlidir.

    Öncelikle Yumuşakgeldin Bonusu veren sitelerin açıklamasını davranmak icabında,
    Maskarageldin bonusu: Bir bahis sitesine üye olduğunuz hengâm bölüm aracılığıyla size ilk fut bastı olarak yaptığı
    bir jest olarak anlatabiliriz.

    Sadece kombine kuponlarda ve sitenin belirlediği minimal oranlarda yapılan 3 lü ya da 4 lü kombine kuponlarınızın, belli bir limite derece olan kısmı muhtevain maruz bonus
    kampanyasıdır. Her sitede farklı kombine kuralları olmaktadır.

    Türkiye bahis piyasasındaki en külüstür sitelerden biridir.
    Bunca senenin peşi sıra kalitesi ve güvenilirliği ile kendini fazlası ile ispatladı.

    Yeni giriş adresleri ile bu arada ilk üyelik bonusu ve casino kayranınında bir çok yenilikleri
    bulabilirsiniz. Canlı Bahis Şirketleri Türki casino
    oyunları ve kumarhane tutkunu olan kullanıcılar
    kucakin giriş adresi ile keyifli ve sağlam ortamda Bet365
    Türkiye Giriş ‘de casino hizmet almanız mümkün. şayet 1xbet spor bahisleri
    ile yakından ilgileniyorsanız Rum Casino sitesini ziyaret ederek tüm ligler hakkında geniş bilgiler alabilirsiniz.

    Bahis sorunlarıyla ilişkin tabilık problemleriniz varsa lütfen sitemizden ayrılınız.
    Sitemizde hiç bir şekilde yasa dışı bahis oynatılmamakta ve kanun dışı bahise vasıta edilmemektedir.

    Tipobet365 canlı bahis oranları ve eşsiz casino oyunları ile en çok kazandıran bahis siteleri ortada taraf hileır.

    Ülkemizde güvenli enfrastrüktürsı ve lisansı ile binlerce müşterisi bulunan sitenin 100 TL deneme bonusu yeni üyelere
    alımlı gelmektedir.

  129. necklace says:

    Overall, The important thing to good logo design is scalability, balance and versatility.
    In advance of we jump into the size details, here are some basic concepts to consider when designing a logo:

    The use cases over demonstrate several applications, but
    AI technology use can prolong to any complicated issue that is usually modeled
    using simulations. The types of problems in which the technology is usually applied
    are revealed in Figure 8. Some other industry
    difficulties that fall into the groups listed are:

    Whether you’re a newbie or possibly a seasoned Professional, you
    can find always place for growth and improvement.
    Check out the blog post and allow me to know your views – I might love
    to listen to about your ordeals and any extra suggestions you could have!
    #DigitalMarketing #CareerGrowth #SalaryBoost

    Will you be supplying your next control system the
    tools it needs to learn how to serve its applications better?

    Plus the past year has found a raft of projects in which AI has long been qualified
    on automatically produced data. Face-recognition systems are being properly trained with AI-produced faces, for
    example.

    Owning your logo on your website can be a great solution to instantly greet your people,
    and let them knowledge your brand appropriate from the first click on.

    For him, creating a supersmart machine signifies building a system that invents its own challenges, solves them,
    and after that invents new types. POET is really a little glimpse
    of this in motion. Clune imagines a machine
    that teaches a bot to wander, then to play hopscotch, then possibly to play Go.
    “Then probably it learns math puzzles and starts inventing its possess challenges,” he claims.
    “The system continually innovates, plus the sky’s the limit concerning in which it
    might go.”

    Typically, one particular needs a purpose satisfaction value that
    reaches 100% to realize efficient control from the brain for all eventualities it’s got practiced on.

    That’s artificial intelligence at work! It
    learns about your preferences and uses algorithms to process all of the TV exhibits,
    movies, or music it’s and finds patterns to give you recommendations.

    Also Adult males scored higher than women in total rating by 13 points.

    Though Individuals whose first language wasn’t English scored 22
    points powering English-only speakers to the ERW part, they scored higher in math than any other group.
    In terms of spouse and children impact, These students
    whose moms and dads experienced parents who have graduate
    degrees accomplished the highest total SAT rating and section scores.
    Also families with the bottom income experienced students with the lowest common total score.

    Having said that, this time the scenarios must be diversified within the simulation – performing checks
    within the brain with scenarios it may not have
    encountered during the first rounds of testing.

    fundamental These types of examples. See the separate entry on logic and artificial intelligence, which is focused on nonmonotonic reasoning, and reasoning about time

    “[A] process that took us two and a 50 percent to three minutes previously was automated to thirty seconds and underneath.”

    Q: Over the course of 100 years, these reports will tell the story of AI and its evolving function in society.

    Despite the fact that there have only been two reports, what’s the story to this point?

  130. casino siteleri says:

    be traced every one of the way back again to Aristotle’s principle with the syllogism.[fifteen] In the
    case of unsure reasoning, the question isn’t

    In general, website logos is often any size, however the proposed logo Proportions for
    an online page are 250 x one hundred fifty px. Remember that your
    logo will not take up your complete width of the website, banner or format, instead it ought to be A part of the overall design.

    Irrespective of whether you are a rookie or maybe a seasoned Professional, you will find generally place for growth and improvement.
    Check out the blog site post and allow me to know your feelings –
    I might love to hear about your ordeals and any supplemental
    guidelines you may perhaps have! #DigitalMarketing #CareerGrowth #SalaryBoost

    “I feel that’s fascinating. I suggest, it’s almost like inventing
    interstellar vacation and being in a position to go stop by alien cultures.
    There would be no greater moment within the history of humankind than encountering an alien race and
    learning about its culture, its science, everything.

    Stop-to-finish processes of building and AI learning agents
    for advanced process controls are: teaching the agent in simulation, teaching
    the agent throughout multiple optimization targets and scenarios,
    assessing the agent, and finally deploying the agent on the edge as being a production control system.

    I not too long ago discovered the remarkable likely of ChatGPT
    in digital marketing and wrote a novice-friendly weblog post to share
    my insights! In my website post, you will learn the way to:

    Wang thinks that receiving AI to work through this challenge
    for itself avoids some of the demo and mistake of a hand-designed approach:
    “We are able to’t possibly expect to come upon the best answer straight away.” While in the process,
    she hopes, we will also learn more about how brains work.
    “There’s nonetheless so much we don’t understand about the way that humans and
    animals learn,” she says.

    In Figure 7, the progress of brain schooling being
    a functionality with the number of iterations is demonstrated.
    The “Intention Satisfaction” parameter is often a relocating typical of
    training episodes, leading to the total number of targets being satisfied.

    If you need to grow your knowledge about AI or have
    your personal questions, this article could be a precious
    source of information. I hope you enjoy reading the article and gain new insights into Artificial Intelligence.
    Really feel free to share this article with your colleagues who could also
    be interested in this topic. Thank you! #ArtificialIntelligence #AI #CommonQuestions
    #BlogPost

    Students enrolled in dual-degree programs between two schools or colleges at Dominican will be charged for every credit hour for each course,
    according to the program that delivers Every distinct course.

    Books and materials are an additional from pocket price that
    will not be included in the cost of tuition. This kind of expenses may variety from $300 to $600 for every semester, with regards to the student’s major
    and class load. Take a look at the Stepan Bookstore online.

    May well eleven, 2023 — Researchers have produced a robot, called ReMotion, that occupies physical space over a
    distant consumer’s behalf, automatically mirroring the user’s movements
    in real time and conveying essential body language … The
    Impact of AI on Trust in Human Interaction

    It’s like the previous adage about teaching someone to fish: Whilst a
    hand-designed algorithm can learn a specific task,
    these AIs are being manufactured to learn the way to learn by themselves.
    Plus some of them are performing better than human-designed ones.

    In this novice-friendly guideline, I explore how AI generators can revolutionize how we approach content generation, from drafting blog site
    posts to designing marketing materials. Within the
    article, you will find:

  131. EugenePam says:

    Super Ace
    Get ready to embark on a spectacular casino adventure with Jili, where luck and excitement intertwine to create an unforgettable gaming experience. Jili is renowned for its innovative and immersive casino games that cater to players of all levels. From the captivating Golden Empire to the adrenaline-pumping Super Ace and the enchanting Fortune Gem, Jili offers a diverse range of games that are sure to thrill and entertain. Join us as we delve into the world of Jili and discover the secrets to unleashing your luck in this exhilarating casino journey.

    Golden Empire: Discover the Realm of Riches and Majesty
    Step into a realm of opulence and majesty with Golden Empire, a game that transports you to a world filled with untold treasures. With its striking graphics and enchanting soundtrack, Golden Empire immerses you in a captivating gaming experience. Venture deep into the kingdom and uncover hidden riches as you encounter mystical symbols, bonus features, and free spins. Let the chieftain guide you towards the path of prosperity in this mesmerizing slot game.

    Super Ace: Soar to New Heights of Casino Thrills
    Prepare to reach new heights of excitement with Super Ace, a game that takes your casino adventure to the next level. With its sleek design and dynamic gameplay, Super Ace offers a thrilling experience that will keep you on the edge of your seat. Test your skills and luck with a wide range of casino games, including classics like blackjack, roulette, and poker, as well as an extensive selection of immersive slot games. With its generous bonuses and promotions, Super Ace ensures that every spin holds the potential for incredible wins.

    Fortune Gem: Unlock Limitless Wealth in a World of Precious Stones
    Enter a world of shimmering gemstones and boundless wealth with Fortune Gem, a game that combines elegance and excitement in perfect harmony. The game’s visually stunning design and captivating animations create an immersive experience that will leave you spellbound. Spin the reels and watch as the gemstones align, triggering bonus rounds, free spins, and multipliers. Fortune Gem offers a wealth of opportunities to uncover unimaginable riches and elevate your casino adventure to new heights.

    iRich Bingo: Where Luck and Social Connection Collide
    Experience the thrill of bingo like never before with iRich Bingo, a game that combines luck, strategy, and social interaction. Connect with players from around the world in a vibrant and engaging bingo community. Engage in friendly banter, participate in exciting chat games, and celebrate each win together. iRich Bingo offers a variety of bingo rooms, each with its unique theme and gameplay style. From traditional 75-ball and 90-ball games to speed bingo and progressive jackpots, iRich Bingo guarantees endless fun and the chance to strike it big.

    Conclusion:
    Jili’s spectacular casino adventure invites you to unleash your luck and embark on an extraordinary gaming journey. Whether you prefer the opulence of Golden Empire, the adrenaline rush of Super Ace, the enchantment of Fortune Gem, or the camaraderie of iRich Bingo, Jili has a game to suit every player’s taste. With their immersive gameplay, stunning visuals, and generous rewards, Jili’s casino games promise an unforgettable experience filled with excitement, thrills, and the potential for life-changing wins. Join Jili’s world of entertainment today and let your luck soar to new heights!

  132. deneme bonusu veren yeni siteler says:

    For a distant worker, I have learned something about being productive when working from home.
    In my latest website post, I share the best ten tactics that
    helped me learn the artwork of remote work!
    In this post, I go over:

    all functional applications mentioned just previously
    mentioned. Unsupervised Learning: Listed here the machine tries to obtain

    Considering that a variety of platforms have different specifications, preparing quite a few
    variations of your logo design allows for adaptability.

    Getting a logo lockup will help with regularity by sustaining
    a formal Model of your logo components, which can then be
    modified appropriately. Here are some versions to make
    use of:

    listed and annotated, can be found online.) Just one significant addition towards
    the cover in the third version is actually a

    This website uses cookies to improve your experience
    Whilst you navigate through the website. Out of those,
    the cookies that are classified as necessary are stored on your browser as They can be essential for the working of basic functionalities from the
    website.

    Online shopping. Online shopping systems utilize algorithms to learn more about your preferences and predict
    what you’ll choose to shop for.

    In reality, Clune miracles if human intuition about what type of data an AI needs in order to learn can be
    off. For example, he and his colleagues have
    created what he calls generative teaching networks, which learn what data they should
    make to obtain the best effects when education a model.
    In a single experiment, he used 1 of such networks to adapt a data set
    of handwritten numbers that’s normally used to train picture-recognition algorithms.

    As 1 would do with control system screening, the AI controller needs to be
    set through a rigorous formal testing method. A simulator with an automated take a look at
    plan can significantly decrease the work needed to assess the “educated” brain.

    It’s important to Be aware that Instagram converts all information to JPEG.
    Furthermore, your Instagram profile pictures are circular.
    If your logo is made up of factors that may very well be cropped out, this might be a
    time to consider using a monogram or icon version of your logo.

    If you have plenty of financial help to cover your
    obtain then no added techniques need for being
    taken. If not, please contact Student Accounts to debate your payment solutions or review your account
    online to look at the update to your payment plan.

    Are AIs created by algorithms tougher to audit for bias?
    Can it be more challenging to guarantee that they will not behave in unwanted means?

    The hosting market has grown to enormous proportions over
    the course of the last twenty five years considering the fact that we first experienced a
    need for hosting. It’s an industry that didn’t
    even exist ahead of the invention on the Internet.

    Immediately after picking the name on the college, you will
    see what subjects are in that college. From there you will also see what the appropriate topics are for you
    personally. So find the college and topic of your preference.

    In this novice-friendly information, I explore how AI generators can revolutionize how we approach content generation, from drafting blog
    site posts to designing marketing materials. From the article, you will discover:

  133. deneme bonusu veren siteler 2023 says:

    We’ll explore how AI boosts our everyday ordeals, drives
    business innovation, and styles a future outside of our imagination. Whether or
    not you are new to AI or simply a seasoned tech fanatic, you will find something for everyone.
    Check it out, and let’s demystify the world of AI collectively.
    Read it in this article: #ArtificialIntelligence #DigitalTransformation #AI
    #FutureTech

    Maximizing product or service quality and minimizing
    off-spec item is really a common intention for many suppliers.
    In this circumstance, the expertise of human operators is needed to
    operate products at proper disorders.

    Connect consumers and employees to the outcomes
    they need, every time. Intelligent automation with situation management gives
    you the power to orchestrate results across channels
    and interfaces in the unified, no-code platform.

    Up to now, they aren’t learning to do much in any respect.
    These AI agents are certainly not playing Go, recognizing signs of
    most cancers, or folding proteins—they’re trying
    to navigate a crude cartoon landscape of fences and ravines without falling over.

    Moreover, the decline during the perceived attractiveness of
    higher education to be a life investment and intense Competitors will depart most establishments with little capability to
    raise tuition to keep tempo with inflation, Permit alone exceed it.

    Growing inflation and financial institution failures will also not permit universities
    to chop their already high costs.

    Things like visual notion, speech recognition, selection-making, and word translation are all
    things that would normally need human intelligence, but now computer programs are able use
    their intelligence and functionality to solve these tasks.

    Sign up for our newsletter to have the inside scoop on what traders are talking about
    — delivered daily to your inbox. Loading Something is loading.

    The first approach, invented independently by Wang and her colleagues at DeepMind and by a team at
    OpenAI at throughout the exact time, uses recurrent neural networks.
    This type of network might be properly trained in this kind of way that the
    activations of their neurons—roughly akin to your
    firing of neurons in Organic brains—encode any type of
    algorithm.

    If you would like develop your knowledge about AI or have your individual questions, this article could be a worthwhile source of information. I hope
    you get pleasure from reading the article and
    gain new insights into Artificial Intelligence.
    Truly feel free to share this article with your colleagues who may also be interested in this topic.

    Thank you! #ArtificialIntelligence #AI #CommonQuestions #BlogPost

    Non-conventional input data: DRL-based controllers regulate
    the intake and can Consider sensor information that automated systems can not.
    As an example, an AI-based controller can consider Visible information about item excellent or an products’s standing.
    It also takes into consideration categorical machine alerts and warnings when taking control actions.

    Kids are being subjected to AIs as soon since they click on videos on YouTube or browse photo albums.

    They need to understand areas of AI like how their steps have an effect
    on future tips.

    DRL-based brains have been designed for over one hundred
    use cases and have been deployed spanning a wide variety of industries and vertical markets.

    Students who tend not to have health insurance should really
    take a look at the Wellness Center in Coughlin 022 for help in navigating your health insurance alternatives.

    “Building on our expertise in AI and many years of working experience working with
    video game developers, NVIDIA is spearheading the use of generative
    AI in game titles.”

  134. yatırımsız deneme bonusu veren siteler says:

    Specific statements in this press launch like, but not limited to, statements concerning:
    the benefits, influence, performance, and availability of our goods, technologies,
    and services, which includes NVIDIA ACE for Game titles, NVIDIA Omniverse, NVIDIA NeMo, NVIDIA Riva, and NVIDIA Omniverse Audio2Face;
    the probable of generative AI to revolutionize the interactivity players can have with match characters and
    dramatically increase immersion in video games; NVIDIA spearheading the usage of generative AI in games; developers
    being able to use NVIDIA ACE for Video games
    to build NPCs; and activity developers and startups using NVIDIA generative
    AI technologies for their workflows are ahead-looking statements that are subject matter to threats and
    uncertainties that could cause success to
    become materially different than anticipations. Crucial
    factors that could lead to genuine final results to differ
    materially include things like: global economic disorders;
    our reliance on third functions to manufacture,
    assemble, package and exam our solutions; the affect of technological development and
    Level of competition; development of recent products and technologies or enhancements to our present item
    and technologies; market acceptance of our solutions or our partners’ items; design,
    manufacturing or software defects; changes in consumer preferences or needs; changes in industry standards and interfaces; unexpected loss of performance of our solutions or technologies when integrated into systems; along with
    other factors detailed from time to time while in the most the latest reports
    NVIDIA data files with the Securities and Exchange Commission,
    or SEC, which include, although not limited
    to, its once-a-year report on Form 10-K and quarterly reports on Form 10-Q.

    The use situations over show a number of applications, but
    AI technology use can extend to any intricate dilemma that might be modeled using simulations.
    The types of complications wherever the technology can be applied are proven in Figure eight.

    A few other industry complications that fall into the categories listed are:

    Connect shoppers and employees towards the results they need, every time.

    Intelligent automation with scenario management
    gives you the power to orchestrate outcomes throughout
    channels and interfaces in a unified, no-code platform.

    A latest earnings report from Nvidia, which bundled “jaw-dropping” revenue guidance
    thanks to its publicity to chips that allow AI, sparked a hurry for AI stocks
    and helped add nearly $200 billion to Nvidia’s market value in the single day.
    The stock has long gone on also rally into a $one trillion market valuation to the first time ever.

    Delayed gratification: DRL-based controllers can learn to recognize sub-best actions during the short time period, which enables the optimization of gains while in the long
    expression.

    Books and supplies are an additional away from pocket
    expense that just isn’t A part of the cost of tuition. This kind of expenses may array from $three hundred to $600 per semester, based on the student’s major and class load.
    Check out the Stepan Bookstore online.

    Sign up for our newsletter to have the inside scoop on what traders are talking about — delivered daily to your inbox.
    Loading Something is loading.

    To give you a better notion about the size
    and form of this sector, we have compiled some agent Internet hosting figures.

    These will better explain the dimensions of the online hosting market,
    who the massive players are, and exactly where they are located.

    It’s imperative that you Notice that Instagram converts all information to
    JPEG. In addition, your Instagram profile pictures are circular.
    If your logo includes components that may very well be cropped out,
    this is likely to be a time to consider using a monogram or icon version of your logo.

    The rapid development of AI that can teach itself also raises questions about how well we
    can control its growth. The idea of AI that builds better AI is an important Component of the myth-making
    behind the “Singularity,” the imagined stage within the future
    when AIs start to improve at an exponential price and move past
    our control. Inevitably, selected doomsayers
    warn, AI could possibly come to a decision it doesn’t need humans in any respect.

    The AI-based Answer and integrated on-line video analysis, along
    with regular process inputs, permit the development of a brain that controls
    multiple outputs at the same time even though respecting the boundaries with the processing products.
    The end result is a faster response to process deviations and
    fewer off-spec products.

    Enabling DRL-based controllers demands a simulation or “digital twin” natural environment to apply
    and learn how choices are created. The advantage of this method may be the brain can learn both of those
    what is considered “good” as well as what is “undesirable”
    with the system, to achieve stated ambitions. Given that the real environment has variabilities – considerably more than what
    are generally represented – within a process simulation model
    and the quantity of simulation needed to teach the brain over the state Place of Procedure, lessened order models that maintain elementary rules of physics
    provide the best method of coaching the brain.

    Different types of logos is often adapted for diverse uses.
    For example, your grasp logo design could have a wordmark
    Variation with just your company name or possibly
    a Edition with your slogan, and a person without.

    You will discover many other uses of AI throughout us every day,
    technology is advancing at a rapid pace which is continually changing
    how we live. What is the future of AI?

  135. Sweet Bonanza casino says:

    1000s of beneficial prospects’ reviews, the subsequent 3
    businesses are the finest to select up any Skoda

    S. streets.’ Electric vehicles can also be extremely
    preferred in China by using a noted four.5million about the roadways.
    EV gross sales in the USA have been more gradual, but predictions suggest that revenue
    will begin to creep up this 12 months.

    So set the pedal on the metal, and Enable’s have a ride you’ll by no
    means forget about! Hold on restricted induce it’s likely to be a single hell of a ride.

    By making use of our Web-site, you’ll be able to Look at quite a few parameters of available discounts, including the cost of a rental

    Together with the press of foot button close to the fuel pedal, this $650
    insert-on gadget would shoot large flames on both aspect.
    It was built by Charl Fourie as a response to alarming charges of carjackings.

    Renters should be not less than 21 many years old, but some
    corporations will utilize a Younger Drivers Surcharge each day rate for renters under twenty five.

    You will need to provide a valid driving license.

    All of this is very exciting, and we will be eager to check out
    just what the car or truck industry does in reaction, and to
    check out what gets well-known Down the road.

    Deciding on a vehicle marked “or very similar” will get you a specific or very
    similar vehicle. Consequently, if you choose a 5-seater car or truck by having an automated
    gearbox, you’re going to get an automobile having an automatic transmission with a capability
    of not fewer than five passengers.

    perspective 2024 Prologue aspects grow all model yearschevron down iconThe chevron down icon as structure ingredient.

    An Grownup was killed and nine small children and Yet another
    adult ended up injured in a very solo automobile
    crash on a Sacramento Road late Wednesday, authorities claimed.

    The race in April was stopped 3 times, although the halt with two laps to go brought on chaos and has sparked a discussion.

    I’ve rented two moments from finances vehicles with little one seats.
    Both situations the seats weren’t at par – I.e seat belt or peak or angle adjustments

    Carmakers have already been toying with the concept of employing technologies like Augmented Reality within their cars,
    declaring that AR-centered window displays might be used
    to enhance safety.

    ADAS was a safety function ideal connected to significant-close
    luxurious cars. But now, it is a component of your feature listing in vehicles that Expense a relative fraction of that quantity.

  136. Kumar Oyun Siteleri says:

    Even though companies are racing to roll out powerful AI models in their
    merchandise, executives like to boast that their tech development is Harmless and ethical.
    Nevertheless it’s clear that Big Tech views teams focused
    on these concerns as costly and expendable. (CNBC) 

    Interstellar travel is exceedingly complicated,
    but we have the opportunity to likely create alien intelligences digitally.”

    Upon finishing the Invited MBA in May perhaps 2021, Schroeder,
    a former U.S. Army officer, transitioned into a career in consulting — the most
    coveted industry for future graduate management students, according to a 2022 study by the Graduate Management Admission Council, an association of graduate business schools.

    Computer vision. In AI, computer eyesight makes use of pattern recognition and deep learning to
    understand a picture or video. This means the machine can Go searching and take pictures or videos in real time,
    and interpret the environment.

    empirically and analyzed extensively by philosophers.[35] The theory is often introduced and motivated by way of dilemmas using

    Keep in mind, you will also have guests to your mobile site who see it on their smartphones or
    tablets, in which your logo could seem even smaller.

    Ensuring you have the highest high-quality image will create an exceptional person practical experience.

    At an occasion in London past week, the CEO reported OpenAI could “stop operating”
    inside the EU if it can’t comply with the upcoming AI Act.
    Altman mentioned his company discovered much to criticize in how
    the AI Act was worded, and that there have been “technical limits to what’s doable.”
    This is likely an vacant risk.

    Machine learning helps Siri, Alexa, and other voice recognition devices learn about
    you and your preferences, helping it know the
    way to help you. These tools also make the most of artificial intelligence to drag in answers to your questions
    or perform the tasks you question.

    Educational tools. Things like plagiarism checkers and citation finders can help educators and students
    benefit from artificial intelligence to enhance papers and research.

    This type of intelligence was born in June of 1965 in which a
    group of scientists and mathematicians fulfilled
    at Dartmouth to discuss the thought of a computer that could actually Assume.
    They didn’t know what to call it or how it would work, but their conversations there
    created the spark that ignited artificial intelligence. Because the “Dartmouth workshop,” as it is called, there have
    been highs and lows for the development of this intelligence.

    Are AIs created by algorithms harder to audit for bias?
    Is it tougher to guarantee that they will not behave in undesirable strategies?

    Near icon Two crossed lines that form an ‘X’. It suggests
    a way to shut an interaction, or dismiss a notification. Home Chevron icon It
    signifies an expandable segment or menu, or sometimes prior / next navigation solutions.

    Students who don’t have health insurance should really visit the Wellness Center in Coughlin 022 for support in navigating your health insurance possibilities.

    Students who never have health insurance should really go to the Wellness Center in Coughlin 022 for help in navigating your health insurance possibilities.

  137. Deneme Casino Bonusu Veren Siteler says:

    Mobilbahis: Son yılların en iyi ve en favori bahis sitelerinden biri olan Mobilbahis canlı bahis sitesi, Bets10 firması
    desteği ile kuruldu.

    Siteler bu kuralları ana sayfalarında genel bonus
    kuralları olarak yayınlamaktadırlar. Bu kuralar genel uyulması gereken kural ve prensipleri içerir.

    Bunlar genelde şunları içermektedir:

    Her kullanıcıya yalnızca bir kez verilen a hundred TL değerindeki
    çevrimsiz deneme bonusundan yararlanmak için üyelik sonrasında canlı destek üzerinden bonusun talep edilmesi gerekiyor.

    Kendilerini daha yakından tanıyabilmeniz için belirli bir miktar genellikle
    ten TL ile thirty TL arası bedava bonus dağıtmaktadırlar.

    Bunun en önemli amacı ise reklam ve yeni kullanıcılar edinmektir.

    Geçtiğimiz aylarda Spor Toto İddaa’yı özelleştirmek için ihaleye sunmuştur.

    İhaleyi iş ve spor dünyasından yakinen tanınan Yıldırım Demirören verdiği teklifle
    kazanmış ve İddaa kurumunun sahibi olmuştur.

    Vdcasino, Malta merkezli bir bahis sitesidir. Kullanıcılarına 15 TL’ye kadar deneme bonusu
    verir ve canlı casino oyunlarıyla beraber spor bahisleri sunar.

    Bahis sitesi denildiği zaman, akla saymakla bitmeyecek kadar çAlright isim gelmektedir.

    Bahis oyunlarını bir bahis hesabından takip etmek isteyen ya da yeni bir bahis sitesine geçiş yapmak isteyen bahis tutkunları, genel olarak yatırım bonusu veren siteler arasından seçim yapmaktadırlar.

    Bahis piyasasında onlarca alternatif var. Ancak kaliteli hizmet
    veren şirketlerin sayısı oldukça az.

    Bahis severler artık sadece regular hayatta değil internet üzerinde de yerini alabiliyor.
    Zaman ve mekân olarak her zaman bahis yapmaya fırsatımız
    olmayabilir, ancak online bahis siteleri sayesinde bu durum artworkık
    rafa kalkmıştır. İstediğiniz zaman bahis yapabilir ve para kazanma
    fırsatında bulunabilirsiniz.

    Sitelere üye olduktan sonra hak ettiğiniz deneme bonusu genellikle otomatik olarak hesabınıza aktarılmaktadır.
    Ancak bazı durumlarda müşteri temsilcileri ile görüşmeniz veya bir bonus kodu kullanmanız
    gerekebilir.

    Sonrasında bu siteler hakkında detaylı bilgilere göz atabiliriz.
    Ayrıca deneme bonusu nedir ve nasıl alınır konularını da
    yazımızın devamında bulacaksınız.

    Deneme bonusu veren sitelerdeki bonuslar, site tarafından belirlenen kurallara göre kullanılır.

    Genellikle, bonuslar belli oranlarda bahis yapmak veya çevrim şartlarını
    tamamlamak gibi koşulları sağladıktan sonra kullanılabilir.

    Youwin: Deneme bonusu veren en güvenilir ve en kaliteli yabancı bahis siteleri arasında yer almaktadır.
    Uzun yıllardır Türkiye online bahis piyasasında yer alan bu site kalitesi ve güvenilirliği
    ile kendini ispatlamış bir firmadır. Youwin (Hepsibahis) sitesi, yeni hesap açan herkese 50 TL bedava deneme
    bonusu vermektedir.

    Yukarıda belirtilen sitelerin tamamı, yatırım şartworkı
    olmadan kullanıcılara deneme bonusu veren siteler arasındadır.
    Bu siteler üyelerine geniş bir bahis seçeneği sunar ve yüksek oranlarla bahis yapma imkanı sağlar.

  138. Deneme Bonusu Betturkey says:

    Key Rib gradual roasted to unusual, then char-grilled to your liking Smothered Steak hand Minimize option sirloin topped with sauteed mushrooms,
    onions & melted mozzarella N.Y Strip Steak nicely-trimmed
    Centre Reduce Hen Teriyaki char-grilled boneless marinated rooster
    breast topped with almond slices & pineapple rings Honey Fried Hen an assortment of crispy chicken parts
    with a contact of sweetness in the coating Broiled North
    Atlantic Haddock our signature filet is treasured for its flakiness and savory taste Ocean White Shrimp plump,
    juicy shrimp served broiled, fried or grilled
    Bourbon Glazed Salmon Filet mouth watering salmon baked to perfection Grilled Mahi Mahi
    a delightful deilcacy, order it blacked for any dollar
    more Tilapia Filet broiled with herb butter Tilapia Filet cajun-grilled or hand breaded and fried Shrimp Scampi pan sauteed shrimp
    with scampi butter Filet Mignon the king
    of steaks, bacon wrapped and char-grilled Gorgonzola & Mushroom Filet Mignon tender filet char-grilled
    with mushroom, gorgonzola & roasted peppers served over garlic cream sauce Hen Parmesan boneless rooster breast, golden fried & topped with marinara
    sauce and melted mozzarella Eggplant Parmesan eggplant, golden fried & topped with marinara
    sauce & melted mozzarella claim this menu disclaimer: pricing
    and availability subject to alter.

    What would be the difference between a donkey and a mule?
    It’s possible you’ll have listened to people check with ‘what is often a mule?’ or perhaps refer to a donkey for a mule.
    This wouldn’t be technically proper. When a donkey or
    an ass (

    When you have an excessive of energy inside
    a predicament, you’re at risk of getting to be an asshole.
    One particular thing I’ve learned is that great distinctions in power convey
    out the worst in us. In the long run, you have to know yourself, be
    truthful about yourself, and count on people around you to let you know whenever you’re being an asshole.
    And when they are type sufficient to show you, pay attention.

    If I asked you to determine the largest asshole in your life right now, how swiftly would you be capable of come up with a name?
    Some of us could possibly be able to record 3 or 4 assholes with whom we interact on a daily basis, plus most of the nameless assholes who cut
    us off in traffic, Slash in front of us in line, and
    otherwise make our lives miserable.

    Anal stenosis can take place right after surgery—especially hemorrhoid removal—or be linked with laxative overuse
    or bacterial infections.

    Verywell Wellbeing’s content is for informational and educational reasons
    only. Our website just isn’t intended to become a substitute for Expert medical advice, diagnosis, or procedure.

    What is usually a donkey? Probably the most very well-identified
    and most made use of of these terms is the donkey.
    It is likely we are conscious of the donkey since they are utilized all
    over the world.

    The pudendal nerve is A serious nerve within the pelvis.
    It tells the muscles that Manage pelvic organs and genitals to maneuver.

    What will be the difference between a donkey and an ass?
    While the expression donkey is currently the most typical utilization in English, this wasn’t constantly the case.

    “Reframe the situation,” Sutton advises, “so it doesn’t contact your soul and it doesn’t upset you really a
    lot.”

    They are identified from Japan to Africa. They’re adaptable,
    highly smart, sweet, very social – and equally males and women have purple
    or bright pink faces and butts.

    They have a custom called Purple Working day where they
    dress in only purple outfits to celebrate the day they first
    formed their clique. Ashley A. forgot this at just one place, and for this, she was kicked out quickly and
    he or she was pressured to hold out with Gretchen for some time.

    The interior anal sphincter and exterior anal sphincter are muscles that work with each other to maintain stool continence.
    The anal sphincter could be influenced by different conditions and injuries.

    President George W. Bush is a buttface. If someone took a deal with
    and mixed it with a butt, it'd glimpse
    just like him.

    https://www.google.com/maps/d/u/0/viewer?mid=1gvM1wZPknRhUwH-uYcs0uDcRhy-Uhec&ll=39.03372938634353%2C35.24332250000001&z=6

Leave a Reply

Your email address will not be published.